Photometric calibration for 2MASS was performed using observations of calibration fields made at regular intervals during each night of survey operations. Measurements of standard stars in the fields were used to derive the photometric zero point offsets as a function of time during each night. Atmospheric extinction coefficients were derived from 2MASS observations made over long periods. The survey's calibration strategy is described in Section III.2.d of the Explanatory Supplement.
2MASS calibration fields, or tiles, are 1° long in declination and approximately 8.5' wide in right ascension. There are 35 regular survey calibration fields distributed at approximately two hour intervals in right ascension near declinations of approximately -30°, 0° and +30°. An additional five calibration fields were defined in and around the Large and Small Magellanic Clouds to support the deep observation (6x) campaign towards the end of survey operations. Figure 1 contains a map of the sky showing the location of the survey (filled squares) and special (open squares) calibration fields. A listing of the 2MASS calibration fields, their central positions and objects of note contained in them are given in Table 1. Click on the calibration Tile number to view a 3-color preview image of the field constructed from the Atlas Images from a single calibration scan.
![]() |
| Figure 1 - Equatorial sky map showing location of the 2MASS survey (solid squares) and LMC/SMC (open squares) calibration fields |
One calibration field was visited each hour during the night (before October 11, 1997 UT, two fields were observed each two hours). During each visit, six consecutive scans of the field were made in alternating declination direction. Each scan in the set of six was offset from the preceding scan by ~5´´ in RA to avoid systematic pixel effects. Scans of the calibration fields were made using the standard survey freeze-frame scanning strategy, accumulating 7.8 sec of exposure on each point on the sky per scan.
Over the course of the survey, the regular calibration fields were scanned between 562 and 3692 times in nominally photometric conditions. Equatorial fields were observed from both observatories, so were observed more frequently than those near ±30° which were observed with only one telescope. The special Magellanic Cloud calibration fields were observed 108 to 468 times between November 2000 and February 2001. The second column in Table 1, labeled Nscn, indicates the total number of photometric scans made of each field.
The calibration scan data collected each night were reduced using the standard 2MASS Production Processing System (2MAPPS) used to process survey data. Photometric and astrometric calibration were handled differently for the calibration scan data because of the presence of the photometric standard stars within the fields, and because there were very few if any Tycho 2 astrometric reference stars in the fields. Features of calibration data reduction that differed from the main survey are described in A4.4.
Calibration scan Atlas Images, and Point and Extended Source Working Databases (Cal-PSWDB and Cal-XSWDB), analogous to those from the main survey, were produced from the calibration scan pipeline data reduction. Table 2 summarizes the number of images and sizes of the calibration source and metadata tables that are provided as part of the 2MASS Extended Mission. The calibration Image Atlas and WDBs are the fundamental processing archives of the data from 73,230 calibration scans taken in photometric conditions during 2MASS survey operations. The Cal-WDBs contain positions, magnitudes and characteristics of 191,464,020 and 403,811 point and extended "source" extractions, respectively. The calibration Image Atlas contains 878,769 FITS images in the three survey bandpasses redundantly covering ~5 deg2 of sky. Unlike the main survey and 6x observations, "Catalogs" have not been derived from the Calibration WDBs. The initial calibration scan data product release includes the observations of the main survey calibration fields. The Magellanic Cloud calibration scan products will become available in 2007.
The general properties of the Cal-WDBs and Image Atlas are in A4.2. Cal-WDB and meta-data table formats are provided in A4.3. Special aspects of the Calibration data processing are given in A4.4.
Users are strongly encouraged to read
the Cautionary Notes on the 2MASS calibration
scan data products
before using the Working Databases or Image Atlas.
| Tile | Nscn | ra(J2000) | dec(J2000) | glon | glat | elon | elat | Notes, Objects of Interest |
|---|---|---|---|---|---|---|---|---|
| 90021 | 2025 | 6.10619 | -1.97294 | 107.367 | -64.025 | 4.823 | -4.237 | HD2023 - K1III, BRI0021-0214 - nearby, high proper motion M9.5V |
| 90294 | 2621 | 8.31622 | -39.40154 | 318.916 | -77.157 | 348.904 | -38.817 | HD98784 - K0/K1III |
| 90299 | 468 | 11.25260 | -70.58353 | 303.708 | -46.535 | 315.929 | -63.013 | SMC field. |
| 90004 | 2977 | 28.66074 | +0.71693 | 154.117 | -58.275 | 26.892 | -10.328 | |
| 90301 | 3430 | 51.72678 | -39.84268 | 244.635 | -55.506 | 32.087 | -55.852 | |
| 90247 | 1962 | 53.01617 | +37.34386 | 155.043 | -15.318 | 59.866 | +17.694 | HD18552 - B8Vne |
| 90533 | 1839 | 55.26392 | +6.93647 | 179.513 | -36.676 | 54.620 | -12.339 | |
| 90191 | 2086 | 66.58918 | +3.62342 | 190.909 | -29.778 | 65.383 | -17.838 | LHS191 - nearby, high proper motion M6.5V |
| 90400 | 378 | 74.90247 | -65.73341 | 276.286 | -35.956 | 0.762 | -83.854 | LMC field. NGC 1783 - globular cluster |
| 90401 | 156 | 78.62001 | -71.00065 | 282.110 | -33.373 | 307.642 | -83.962 | LMC field. |
| 90013 | 3515 | 89.28447 | +0.01890 | 206.632 | -12.049 | 89.220 | -23.418 | |
| 90402 | 432 | 93.56589 | -69.66665 | 279.959 | -28.523 | 248.477 | -86.623 | LMC field. Hodge 11 - globular cluster |
| 90121 | 562 | 97.37444 | -59.65713 | 268.951 | -25.881 | 119.127 | -82.345 | |
| 90161 | 2593 | 105.22232 | +48.48935 | 168.289 | 21.455 | 101.129 | +25.636 | |
| 90312 | 3501 | 126.40319 | -39.09847 | 257.574 | -0.669 | 145.023 | -55.799 | |
| 92026 | 2158 | 128.12790 | -1.57084 | 226.548 | 21.547 | 130.978 | -19.751 | LHS2026 - nearby, high proper motion dwarf |
| 90067 | 3692 | 132.81203 | +11.84773 | 215.639 | 31.905 | 131.935 | -5.579 | M67 - open star cluster |
| 90091 | 789 | 145.75214 | +59.06160 | 154.888 | 44.631 | 125.013 | +42.210 | NGC 2950 - SB0 galaxy |
| 92397 | 2585 | 170.45775 | -13.22047 | 271.788 | 44.166 | 176.597 | -15.904 | LHS2397a - nearby, high proper motion M8V |
| 90217 | 1687 | 180.44070 | -50.05148 | 294.815 | 12.036 | 205.734 | -44.539 | |
| 90266 | 2776 | 183.61047 | +35.59855 | 163.599 | 78.431 | 167.187 | +33.672 | UGC 7252 - Scd galaxy |
| 90860 | 2452 | 185.41757 | -0.12034 | 287.009 | 61.828 | 185.021 | +2.042 | |
| 90867 | 949 | 220.24529 | -0.45767 | 351.082 | 51.867 | 217.981 | +14.457 | NGC 5719 |
| 90273 | 1780 | 224.21932 | -44.81900 | 325.155 | 12.572 | 235.303 | -26.739 | |
| 90272 | 1973 | 224.64303 | +37.14173 | 61.476 | 61.448 | 205.765 | +50.966 | |
| 90868 | 2186 | 225.11368 | -0.65787 | 356.367 | 48.363 | 222.849 | +15.740 | TVLM 868-53850 - nearby, high proper motion M5V |
| 90565 | 3396 | 246.68168 | +5.87185 | 20.521 | 34.698 | 243.720 | +27.209 | |
| 90009 | 1582 | 246.80780 | -24.68901 | 352.970 | 16.585 | 249.005 | -2.924 | rho Ophiuchus star forming region |
| 90330 | 1192 | 247.89420 | +30.14552 | 50.250 | 42.071 | 238.704 | +51.210 | |
| 90279 | 977 | 267.09736 | -45.42783 | 346.065 | -8.926 | 267.803 | -22.011 | |
| 90182 | 1703 | 279.89627 | +49.09363 | 78.074 | 22.009 | 291.129 | +71.808 | |
| 90547 | 671 | 282.82780 | -4.27488 | 29.111 | -1.920 | 283.507 | +18.565 | Lynds 547 - galactic dark nebula |
| 90808 | 1876 | 285.48438 | -4.48794 | 30.125 | -4.377 | 286.259 | +18.082 | |
| 90234 | 2076 | 307.83812 | -49.64775 | 349.607 | -36.216 | 297.217 | -29.722 | |
| 90813 | 1570 | 310.27504 | -5.06339 | 41.333 | -26.643 | 311.324 | +12.787 | |
| 92409 | 1439 | 330.11998 | +20.84962 | 77.728 | -26.651 | 340.586 | +30.780 | Abell 2409 - galaxy cluster |
| 92202 | 2802 | 331.40247 | -11.07477 | 47.133 | -47.917 | 329.508 | +0.608 | BRI2202-1119 - nearby, high proper motion M5.5V |
| 90893 | 2619 | 349.54575 | +0.54857 | 80.124 | -54.382 | 350.607 | +4.644 | NGC 7589 - SAB galaxy |
| 90290 | 1141 | 352.64369 | +38.31591 | 105.945 | -21.874 | 11.226 | +37.503 | |
| 90298 | 108 | 356.63061 | -74.50079 | 308.690 | -41.894 | 303.851 | -61.386 | SMC field. |
| Cal-WDBs | LMC/SMC Cal-WDBs | |
|---|---|---|
| Point Source Extractions | 191,464,020 | 5,041,472 |
| Extended Source Extractions | 403,811 | 9,709 |
| Atlas Images | 878,769 | 18,504 |
| Scans | 73,230 | 1,542 |
The distinguishing feature of the 2MASS calibration field observations is the large number of repeated, highly uniform measurements of each field made with a sampling cadence that ranged from ~1 minute (the mean time separating scans within a calibration observation) to ~3.5 years (the duration of the survey). The sampling frequencies and long-term photometric and color trending data available in the resulting source WDBs and Images are a unique resource for conducting time-domain investigations.
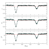
The extensive time sampling of the calibration WDBs make possible identification and detailed analysis of the light curves of long period and irregular variable stars. For example, Figures 2 shows the phase-folded light curves of an eclipsing binary star in the 90312 calibration field, one of 246 red variables identified by Plavchan et al. (2008 ApJS, 175, 191) during a survey for eclipsing M-dwarfs using the full calibration PSWDB. The light curve of an RR Lyrae variable identified in the 90004 field by Becker, Bochanski, Claire and Ivezic (private comm.), shown in Figure 3, reveals exquisite detail made possible by nearly 3000 independent measurements. In high galactic latitude fields, the multi-epoch data enable 3-band variability studies of known active galactic nuclei, and offer the prospect of conducting color-independent, variability-based searches for previously unknown objects. Near-infrared light curves of the radio-quiet QSO RX J1631.4+2952 (z=0.25) and radio-loud quasar B3 1456+375 (z=0.33) generated from the calibration PSWDB are shown in Figure 4.
The frequent sampling combined with 2MASS's excellent internal astrometric precision also make the calibration point source WDB a resource for proper motion studies. Several of the 2MASS calibration fields contain known, nearby M-dwarfs, and used them as the primary standard stars (III.2.d). Figure 5 shows the RA and Dec motion of LHS 191 (M6.5V), the primary calibrator in the 90191 field. A least-squares fit to the motion ellipse gives a proper motion of 1.022±0.001 arcsec/yr and a parallax of 0.056±0.002 arcsec, which agree well with the values measured by Monet et al. (1992 AJ, 103, 638).
The calibration point source WDB contains associations with 8540 asteroids and comets. Because of the highly redundant nature of the calibration observations, over half of all detected asteroids are seen six or more times, providing the opportunity for light curve studies of brighter bodies, and orbit refinement. The most frequently observed solar system body in any of the 2MASS data sets is the asteroid (1528) Conrada 1940 CA, which was sighted 112 times in the 90067 calibration field between December 7 and 20, 1999 (UT). The large number of detections occurred because the asteroid fortuitously executed its apparent prograde-to-retrograde swing within the field, as shown in Figure 6. Each apparent "point" in Figure 6 is actually four to six independent calibration scan position measurements, illustrating the internal accuracy of the astrometry. Intensity variations due to the asteroids rotation are seen in the raw and phase-folded light curves of (1528) Conrada shown in Figure 7.
![]() |
![]() |
![]() |
| Figure 2 - J, H and Ks light curves for an eclipsing variable in the 90312 calibration field folded to a period of 8.09 days (Plavchan et al. 2008 ApJS, 175, 191). | Figure 3 - Phase-folded J and Ks light curves and magnitude-color behavior for an RR Lyr variable in the 90004 calibration field (Becker et al. private comm.). | Figure 4 - J, H and Ks light curves for two known QSOs that lie in calibration fields. |
![]() |
![]() |
![]() |
| Figure 5 - Proper motion of LHS 191. Cyan points are positions from individual calibration scans, and black points are average positions from six scans in each calibration field observation. | Figure 6 - J2000 position of asteroid (1528) Conrada from 112 independent detections in the 90067 calibration field between December 7 and 20, 1999 UT. | Figure 7 - (left) Raw J, H and Ks light curves of asteroid (1528) Conrada from the Cal-PSWDB. (right) Phase-folded light curves (period = 6.321 hours) of magnitudes corrected for secular variations from the changing heliocentric and topocentric distance and observing phase angle using the predicted V magnitude (Vpred). The residual periodic variation is due to rotation. |
The calibration scan data are unique among the 2MASS data sets because of the highly redundant nature of the observations. This redundancy also makes the Cal-WDBs and Image Atlas somewhat challenging to use as a stand-alone resource, since any query based solely on position and/or flux/color may return a large number of measurements of the same objects.
A useful entry point for inquiries into the Cal-PSWDB and Cal-XSWDB are the Calibration Merged Source Information and Cross-Reference tables which are designed to to help exploit the multi-epoch nature of the calibration field scan data. The merged source tables contain the average brightnesses and positions of all measurements of reliable sources detected in the calibration field observations, as well an assortment of statistics designed to help gauge the quality of combined photometry and astrometry and identify candidate variable, transient or moving objects. The cross-reference tables provide simple access to all sightings of the same object in the respective Cal-WDBs for follow-up analyses. The combined photometry and astrometry of hundreds to thousands of independent measurements yields photometric and internal astrometric precision far in excess of what is possible from the main 2MASS survey (e.g.A6.1) or individual calibration scans. The process used to merge the WDBs and the resulting products are described in Appendix 6.
Appendix 7 describes the Combined
Calibration Scan Image products, which yield extraordinarily deep
observations of the calibration fields. Virtually all Atlas Images of
each field have been combined with optimal weighting and scaling
to produce extremely sensitive and well-calibrated images
that reach 3.5-4.5 magnitudes deeper than the main 2MASS survey
observations. Preliminary source extractions are also provided for
each field to provide guidance for calibration to users who wish
to perform specialized source detection and characterization
on these often complex and crowded fields.
i. General
ii. Calibration Scan Point Source Working Database
iii. Calibration Scan Extended Source Working Database
iv. Calibration Scan Atlas Images
[Last Updated: 2008 March 14; by R. Cutri]