VI. Analysis of the 2MASS Second Incremental Release Catalogs


6. PSC Reference Field Characteristics

a. Introduction

We have generated a number of diagnostic plots to characterize the Point Source Catalog behavior over a variety of galactic and equatorial positions. At each position, a circular (in galactic coordinates) Reference Field with 1° radius has been defined, and all PSC entires within the regions have been extracted. These Reference Fields provide a more "microscopic" spot-checking of the catalog to complement the global characterizations of the PSC carried out by M. Weinberg in Section VI.6a and J. Carpenter in Section VI.2b.

The first 11 Reference Fields sample northern data, and the second 11 Fields probe the south.

These reference fields are also designed to be used as target regions for other investigations. Please see M. Egan's comparison of the source counts with SKY model predictions in Section VI.7a for these fields.

b. Field Selection

The Reference Fields were selected using two criteria:

  1. The field centers were chosen to sample the catalog at regular intervals in both galactic coordinates, to illustrate the effects of source density, and equatorial coordinates to illustrate any possible telescope position dependent effects.


  2. Fields were selected to have contiguous coverage over their 2° diameters. This was verified by using the Survey Visualizer interface to allow one to "zoom-in" on the Release fields.
  3. No a priori knowledge of contents of a field were used in field selection.

    The table below lists the definitions of the current set of Reference Fields, along with the total number of point sources in each field.

    |N |   RA    |    Dec0   | glon0   | glat0   | radius | nsrcs  |
    |  |   c     |     c     |   d     |   d     |   d    |   i    |
      1 12h50m00s  +15d00m00s  301.28    +77.87     3600.0    3701
      2 10h42m00s  +21d00m00s  217.58    +59.91     3600.0    4406  
      3 09h16m00s  +21d00m00s  207.79    +40.80     3600.0    6193
      4 08h17m00s  +21d00m00s  202.27    +28.80     3600.0    9403
      5 06h56m00s  +27d00m00s  188.97    +12.87     3600.0   27134
      6 06h20m00s  +21d00m00s  190.75     +2.85     3600.0   50724
      7 04h45m00s  +27d00m00s  175.09    -10.47     3600.0   27333
      8 04h35m00s  +15d00m00s  182.10    -21.35     3600.0   11520
      9 02h21m00s  +21d00m00s  149.45    -37.22     3600.0    6209
     10 19h30m00s  +21d00m00s   55.03     +0.91     3600.0  273545
     11 12h55m00s  +32d00m00s  114.12    +85.07     3600.0    2972
     12 18h45m00s  -16d00m00s   17.92     -5.83     3600.0  211253
     13 19h35m00s  -18d00m00s   21.25    -17.51     3600.0   49670
     14 20h25m00s  -24d00m00s   19.73    -30.55     3600.0   19348
     15 21h50m00s  -27d00m00s   22.34    -49.84     3600.0    7636
     16 23h10m00s  -24d00m00s   35.04    -66.95     3600.0    4800
     17 00h50m00s  -27d00m00s   35.16    -87.45     3600.0    3721
     18 02h30m00s  -22d00m00s  205.43    -67.05     3600.0    3686
     19 02h50m00s  -46d00m00s  259.66    -59.92     3600.0    4382
     20 05h10m00s  -30d00m00s  232.35    -33.92     3600.0    8118
     21 06h15m00s  -26d00m00s  233.06    -19.06     3600.0   19941
     22 07h50m00s  -30d00m00s  245.96     -1.90     3600.0   98542
    

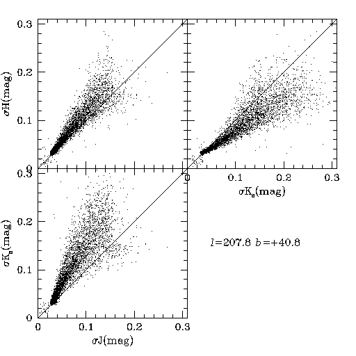
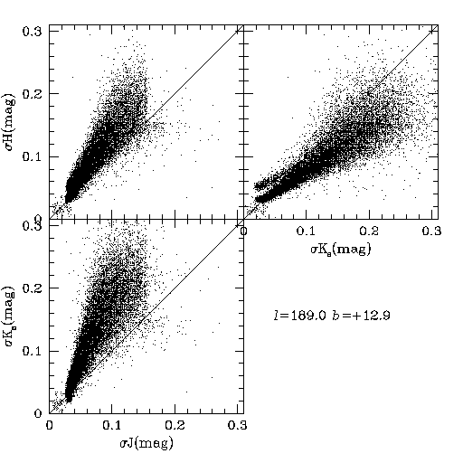
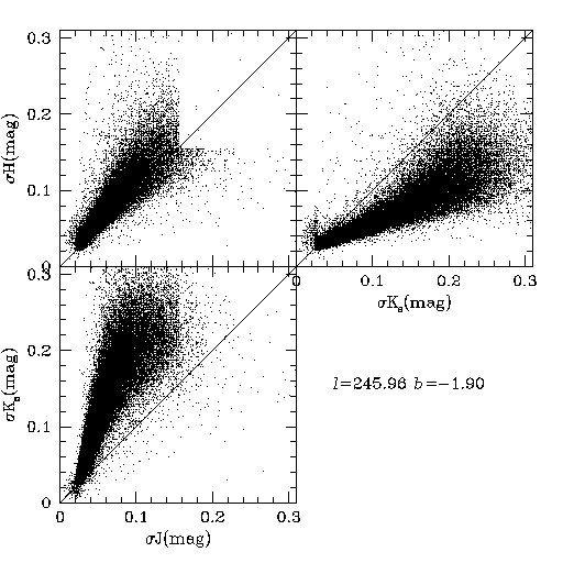
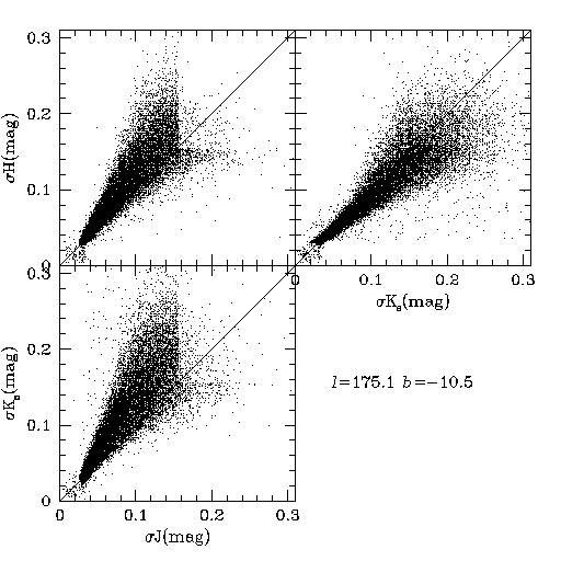
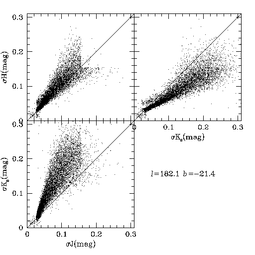
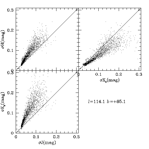
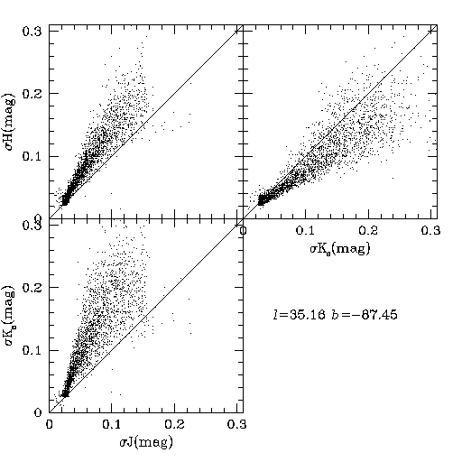
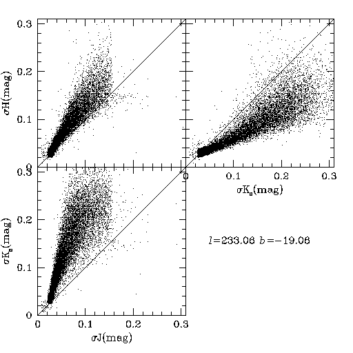
    c. Diagnostic Plots

    Plots showing the following relationships for the PSC entries in each field have been generated. Whenever single-band information is shown in a plot panel, J-band sources are denoted by blue points, H-band by green points, and Ks by red points.

    d. The Plots

    Field l b Spatial Dist. d(log N)/dM N(<M) vs. Mag    vs. Mag 2 vs. Mag 2 vs. J-H-Ks color B-J-Ks color JHKs JHKs 2
    1 301.28 +77.87 Fig. 1a Fig. 1b Fig. 1c Fig. 1d Fig. 1e Fig. 1f Fig. 1g Fig. 1h Fig. 1i Fig. 1j
    2 217.58 +59.91 Fig. 2a Fig. 2b Fig. 2c Fig. 2d Fig. 2e Fig. 2f Fig. 2g Fig. 2h Fig. 2i Fig. 2j
    3 207.79 +40.80 Fig. 3a Fig. 3b Fig. 3c Fig. 3d Fig. 3e Fig. 3f Fig. 3g Fig. 3h Fig. 3i Fig. 3j
    4 202.27 +28.80 Fig. 4a Fig. 4b Fig. 4c Fig. 4d Fig. 4e Fig. 4f Fig. 4g Fig. 4h Fig. 4i Fig. 4j
    5 188.97 +12.87 Fig. 5a Fig. 5b Fig. 5c Fig. 5d Fig. 5e Fig. 5f Fig. 5g Fig. 5h Fig. 5i Fig. 5j
    6 190.75 +2.85 Fig. 6a Fig. 6b Fig. 6c Fig. 6d Fig. 6e Fig. 6f Fig. 6g Fig. 6h Fig. 6i Fig. 6j
    7 175.09 -10.47 Fig. 7a Fig. 7b Fig. 7c Fig. 7d Fig. 7e Fig. 7f Fig. 7g Fig. 7h Fig. 7i Fig. 7j
    8 182.10 -21.35 Fig. 8a Fig. 8b Fig. 8c Fig. 8d Fig. 8e Fig. 8f Fig. 8g Fig. 8h Fig. 8i Fig. 8j
    9 149.45 -37.22 Fig. 9a Fig. 9b Fig. 9c Fig. 9d Fig. 9e Fig. 9f Fig. 9g Fig. 9h Fig. 9i Fig. 9j
    10 55.03 +0.91 Fig. 10a Fig. 10b Fig. 10c Fig. 10d Fig. 10e Fig. 10f Fig. 10g Fig. 10h Fig. 10i Fig. 10j
    11 114.12 +85.07 Fig. 11a Fig. 11b Fig. 11c Fig. 11d Fig. 11e Fig. 11f Fig. 11g Fig. 11h Fig. 11i Fig. 11j
    12 17.92 -5.82 Fig. 12a Fig. 12b Fig. 12c Fig. 12d Fig. 12e Fig. 12f Fig. 12g Fig. 12h Fig. 12i Fig. 12j
    13 21.25 -17.51 Fig. 13a Fig. 13b Fig. 13c Fig. 13d Fig. 13e Fig. 13f Fig. 13g Fig. 13h Fig. 13i Fig. 13j
    14 19.73 -30.55 Fig. 14a Fig. 14b Fig. 14c Fig. 14d Fig. 14e Fig. 14f Fig. 14g Fig. 14h Fig. 14i Fig. 14j
    15 22.34 -49.84 Fig. 15a Fig. 15b Fig. 15c Fig. 15d Fig. 15e Fig. 15f Fig. 15g Fig. 15h Fig. 15i Fig. 15j
    16 35.04 -66.95 Fig. 16a Fig. 16b Fig. 16c Fig. 16d Fig. 16e Fig. 16f Fig. 16g Fig. 16h Fig. 16i Fig. 16j
    17 35.16 -87.45 Fig. 17a Fig. 17b Fig. 17c Fig. 17d Fig. 17e Fig. 17f Fig. 17g Fig. 17h Fig. 17i Fig. 17j
    18 205.43 -67.05 Fig. 18a Fig. 18b Fig. 18c Fig. 18d Fig. 18e Fig. 18f Fig. 18g Fig. 18h Fig. 18i Fig. 18j
    19 259.66 -59.92 Fig. 19a Fig. 19b Fig. 19c Fig. 19d Fig. 19e Fig. 19f Fig. 19g Fig. 19h Fig. 19i Fig. 19j
    20 232.35 -33.92 Fig. 20a Fig. 20b Fig. 20c Fig. 20d Fig. 20e Fig. 20f Fig. 20g Fig. 20h Fig. 20i Fig. 20j
    21 233.06 -19.06 Fig. 21a Fig. 21b Fig. 21c Fig. 21d Fig. 21e Fig. 21f Fig. 21g Fig. 21h Fig. 21i Fig. 21j
    22 245.96 -1.90 Fig. 22a Fig. 22b Fig. 22c Fig. 22d Fig. 22e Fig. 22f Fig. 22g Fig. 22h Fig. 22i Fig. 22j

    [Last Updated: 2000 Jan 8 by R. Cutri. Modified 2000 Aug 28 by S. Van Dyk.]


    Previous page. Next page.
    Return to Explanatory Supplement TOC Page.