VI. Analysis of the 2MASS Second Incremental Release Catalogs


7. Comparison to External Catalogs and Models

a. Comparison of PSC Source Counts to SKY Model Predictions

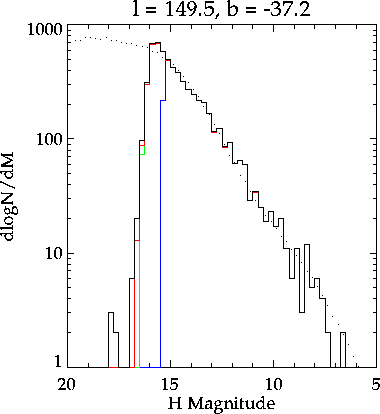
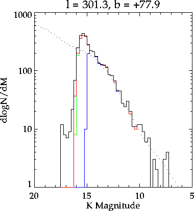
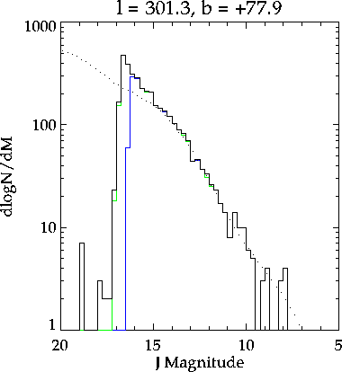
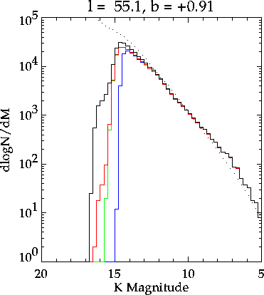
Comparisons of source counts for the Second Incremental Release Point Source Catalog reference fields discussed in VI.6 to the SKY4 model. The sources were extracted for a 1°-radius field around the reference point. The SKY model results, which are returned as d(log N)/dM per square degree for one magnitude bins, sampled ever 0.25 magnitude, have been scaled to account for the larger field (3.1416°) and 0.25 magnitude bins sampled every 0.25 magnitudes.

The fields examined were:

|N |   RA    |    Dec0   | glon0   | glat0   | radius | nsrcs  |
|  |   c     |     c     |   d     |   d     |   d    |   i    |
  1 12h50m00s  +15d00m00s  301.28    +77.87     3600.0    2989
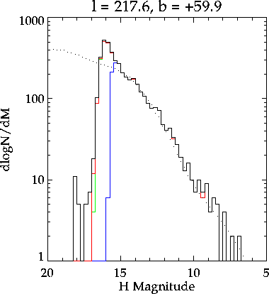
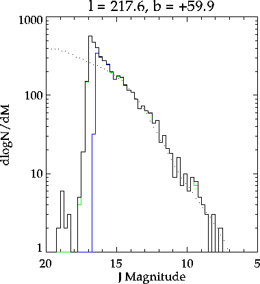
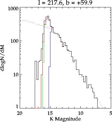
  2 10h42m00s  +21d00m00s  217.58    +59.91     3600.0    4406  
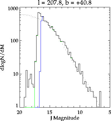
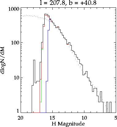
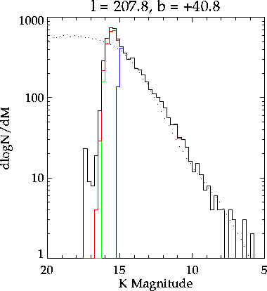
  3 09h16m00s  +21d00m00s  207.79    +40.80     3600.0    6193
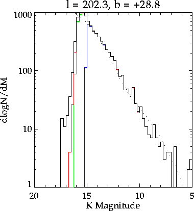
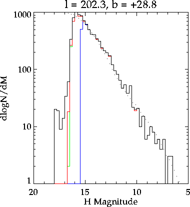
  4 08h17m00s  +21d00m00s  202.27    +28.80     3600.0    9403
  5 06h56m00s  +27d00m00s  188.97    +12.87     3600.0   27134
  6 06h20m00s  +21d00m00s  190.75     +2.85     3600.0   50724
  7 04h45m00s  +27d00m00s  175.09    -10.47     3600.0   27333
  8 04h35m00s  +15d00m00s  182.10    -21.35     3600.0   11520
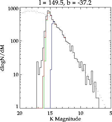
  9 02h21m00s  +21d00m00s  149.45    -37.22     3600.0    6209
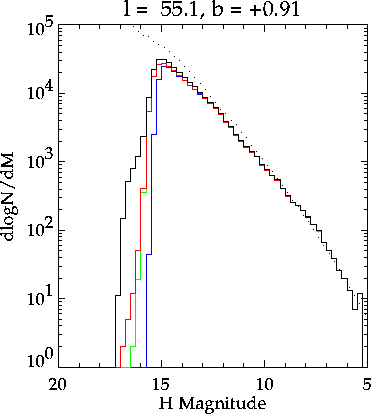
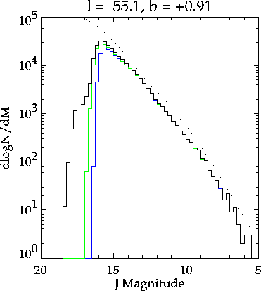
 10 19h30m00s  +21d00m00s   55.03     +0.91     3600.0  273545

Four figures are shown for each position. The first of these is a plot of the fractional difference between the actual source counts and the SKY model as a function of magnitude bin for the J-band measurements. This figure (and the others for these fields) exclude sources in the lists which are flagged as extended sources (or contaminated by extended sources). We have limited this comparison to sources with signal-to-noise ratio (SNR) in the J band greater than 10, in order to avoid major deviations caused by flux overestimation at low SNR. For these plots, the black histogram (as opposed to the black zero deviation line) are those sources which have SNR > 10 in all three bands. The blue histogram are those sources for which the H band AND J band SNR are > 10, the red where Ks band AND J band have SNR > 10, and the green line are those sources for which the J band has SNR > 10.

The remaining three figures show histograms of the differential source counts as a function of magnitude for each 2MASS wavelength. The source counts predicted by the SKY4 model (Cohen et al.) are overplotted as black dots. The source counts have also been broken down by the magnitude uncertainty value. The histogram printed in blue denotes those sources with < 0.1 mag; the green histogram includes sources with < 0.25 mag; the red histogram includes sources with < 0.5 mag, and the cyan includes all sources with non-null values. The black line indicates the total source count, including sources with null values in their magnitude uncertainty column for that band (we assume these are the "fill" sources or some other limit).

The source counts for |b| > 20° appear to be in excellent agreement with the model. We see a slight deviation in the Catalog counts above the model predictions in the bins for SNR around 10 and below. This appears to be within the deviation expected for the combination of statistical deviation from the model and deviation due to flux overestimation bias.

Close to the Galactic plane, we see that the results are not quite as good. In the anti-center direction, there is a source count enhancement predicted by the model at magnitudes brighter than ~12 in all bands, which is not matched by Catalog sources counts, which appear to follow a single power law from magnitude 7 to 15. M. Cohen has noted that the source counts toward the anticenter are sharply different between the optical, near-IR and mid-IR. The cause of this discrepancy may have its basis in which source counts (optical, NIR, or MIR) are the basis of the dominant model component in this direction.

The Figures

Field l b N(J) d(log N)/dM(J) d(log N)/dM(H) d(log N)/dM(Ks)
1 301.28 +77.87 Fig. 1a Fig. 1b Fig. 1c Fig. 1d
2 217.58 +59.91 Fig. 2a Fig. 2b Fig. 2c Fig. 2d
3 207.79 +40.80 Fig. 3a Fig. 3b Fig. 3c Fig. 3d
4 202.27 +28.80 Fig. 4a Fig. 4b Fig. 4c Fig. 4d
5 188.97 +12.87 Fig. 5a Fig. 5b Fig. 5c Fig. 5d
6 190.75 +2.85 Fig. 6a Fig. 6b Fig. 6c Fig. 6d
7 175.09 -10.47 Fig. 7a Fig. 7b Fig. 7c Fig. 7d
8 182.10 -21.35 Fig. 8a Fig. 8b Fig. 8c Fig. 8d
9 149.45 -37.22 Fig. 9a Fig. 9b Fig. 9c Fig. 9d
10 55.03 +0.91 Fig. 10a Fig. 10b Fig. 10c Fig. 10d

[Last Updated: 1999 December 7 by M. Egan. Modified 2000 Aug 29 by S. Van Dyk.]


Previous page. Next page.
Return to Explanatory Supplement TOC Page.