2MASS Data Sampler

(Released 1998 Dec 18)

The first, large incremental 2MASS data release is scheduled for the Spring 1999. The objective of the 2MASS Sampler is to introduce the astronomical community to the content and format of the 2MASS datasets, and to the web-based Access Tools. The Sampler also provides an opportunity for the 2MASS project to receive community feedback before the Spring release. Finally, the Sampler is intended ultimately to enable the community to carry out scientific investigations with the 2MASS dataset for the first time.

The 2MASS Sampler accomplishes this introduction with a small, representative set of 2MASS data. The Sampler data are drawn from observations obtained at the Northern 2MASS facility on the night of 1997 November 16 UT ("971116n", hereafter). Approximately 63 deg2 of northern sky were covered by these observations. The Sampler release datasets include 5,658 compressed 512×1024 pixel (1"/pixel) Atlas Images in the three survey bands (the Atlas Images are compressed with the task hcompress), and Catalogs containing positional and brightness information for 227,197 Point and 2133 Extended sources selected using safe, but not overly conservative, thresholds, to provide a realistic example of the data the community can expect to find in the larger data releases to come.

Obtain the data via the IRSA web interface
See a small gallery of interesting objects contained in the Sampler
Obtain the Micro Explanatory Supplement to the 2MASS Sampler Email the 2MASS Help Desk for user support or more information about the Sampler
See the Sampler sky coverage Consult frequently asked questions (FAQs) about the Sampler
Obtain additional general information about the 2MASS Sampler
Please take a few moments to complete our User Feedback Form.

We appreciate your opinions and comments about the 2MASS Sampler.

Also, please include this acknowledgment in any published material that makes use of the 2MASS Sampler data products.


Additional general information about the 2MASS Sampler

The selection criteria for the Point Source catalog are

  1. the brightness thresholds meet the following requirements:
    Band
    Single Band Detection
    ~SNR
    Multi-Band Detection
    ~SNR
    J
    16.0
    (12:1)
    16.5
    (7:1)
    H
    15.5
    (8:1)
    16.0
    (5:1)
    Ks
    15.0
    (10:1)
    15.5
    (7:1)

  2. redundant sources in scan-to-scan overlap regions have not been rectified
  3. detections of known asteroids, summarized in separate table included with the Sampler, have not been from the catalog.

The selection criteria for the Extended Source catalog are

  1. extended source exceeds brightness limits (measured in 7" fiducial apertures):
    Band
    Mag. Limit
    J
     15.0
    H
     14.3
    Ks
     13.5

  2. again, redundant sources in scan-to-scan overlap regions have not been rectified

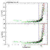
Note that up to 10% of Point and Extended Source Catalog objects may be duplicates, because of scan overlaps. This is true only for the Sampler data Catalogs. (Such source duplicate entries will be removed from the larger incremental data releases, beginning in 1999.) Differential point source counts for the 2MASS Sampler, from which extended sources have not been removed, are shown in Figure 1, where the blue line denotes J-band; green line, H-band; and, red line, Ks-band.

Photometric repeatability for point sources in the P161-D calibration field are shown in Figure 2. The black crosses represent the RMS dispersion about the mean magnitude plotted versus the mean magnitude of all sources detected at least 16 out of the 18 times the field was observed during the night. Red points denoted sources detected fewer than 16 out of 18 times. The green bars indicate the mean RMS averaged in 0.5-mag bins. The top panel shows data for the J-band; H-band is in the center panel; and, Ks is in the bottom panel. The horizontal blue lines indicate signal-to-noise SNR=10 levels, and the vertical blue lines indicate the Level 1 Requirement magnitudes for SNR>10. These data satisfy the requirements for photometric sensitivity and precision in all three bands.

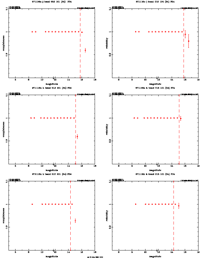
The differential completeness (left) and reliability (right) are plotted as a function of magnitude derived from the observations of the FS4 calibration field in Figure 3. J, H, and Ks values are shown in the top, middle and bottom panels, respectively. The dashed vertical lines indicate the magnitudes specified in the Level 1 Science Requirements for 99% completeness and 99.95% reliability. Note that the vertical scale on these plots ranges from 0.8 to 1.1.

Figure 1Figure 2Figure 3

Figure 4 shows the JHKs color-color diagram for the 209,396 3-band-detected point sources (yellow=SNR(Ks)>40; blue=SNR(Ks)>20; black=SNR(Ks)<20); red and green lines indicate dwarf and giant tracks, respectively, from Bessell & Brett [1988, PASP, 100, 1134]; the diagonal black line indicates the reddening vector for AV=5 mags).

Figure 5 shows the JHKs color-color diagram for the 2MASS Sampler Extended Source Catalog. The black points show extended sources that are found in the Sampler. For informational purposes only, red triangles indicate double stars, and red crosses indicate triple stars. The multiple stars are not included in the Extended Source Catalog. The green lines show the Bessell & Brett (1988) dwarf and giant star tracks. Also overlaid on the plot are the K-correction curves for SAB (magenta) and elliptical (grey) galaxies. The tickmarks on those curves indicate increments of 0.1 in redshift, starting at z=0 on the left. The dashed diagonal blue line indicates how a color criterion can be applied to discriminate between galaxies and multiple stars.

Figure 4Figure 5
The differential extended source counts for 2MASS Sampler are shown in Figure 6 (blue line=J; green line=H; and, red line=Ks).

The internal RA (top) and DEC (bottom) positional repeatability of all sources in the P161-D calibration field are shown in Figure 7 versus Ks magnitude. As in Figure 4, the black crosses denote sources detected at least 16 out of the 18 times the field was scanned, red points indicate sources detected less than 16 times, and the green bars show the average positional RMS in 0.5-mag bins. The full scale in each panel is 0.5". One can see that the internal positional consistency is outstanding.

Finally, the distribution of position residuals for 1204 ACT stars observed on 971116n are shown in Figure 8. Red lines show the distribution of the difference between catalog and positionally-reconstructed RA, and blue lines show the DEC differences (see the section on 2MASS positional reconstruction below). The 1-sigma values for each distribution are ~0.1".

Figure 6Figure 7Figure 8


Standard Acknowledgment for Use of 2MASS Data in Astronomical Publications

Please include the following in any published material that makes use of the 2MASS Sampler data products:

"This publication makes use of data products from the Two Micron All Sky Survey, which is a joint project of the University of Massachusetts and the Infrared Processing and Analysis Center, funded by the National Aeronautics and Space Administration and the National Science Foundation."

Thank you very much.


Last update: 1999 Mar 17,
2mass@ipac.caltech.edu

Return to the 2MASS Home Page