Micro Explanatory Supplement to the 2MASS Sampler Data Release


I. Introduction

  1. Objectives and Scope of 2MASS Sampler Data Release
  2. Acknowledgements
  3. Referencing 2MASS
    1. 2MASS Source Naming Convention
    2. Acknowledging 2MASS in Publications

II. Contents of the 2MASS Sampler Data Release

  1. Catalogs
    1. Point Source Catalog
    2. Extended Source Catalog
  2. Atlas Images
  3. Software
    1. hcompress
  4. Gallery Images
  5. Ancillary Files
    1. Point Source Record Format
    2. Extended Source Record Format
    3. Atlas Image Index
    4. Atlas Image Header Description
    5. Scan Corners File
    6. Known Asteroid Detection List

III. 2MASS Overview

  1. Facilities
    1. Telescopes
    2. Camera and Detectors
  2. Data Acquisition
    1. Scanning Strategy
    2. Survey Tiles
    3. Photometric Calibration Strategy
  3. Data Processing
    1. Instrumental Frame Correction
    2. Atlas Image Generation
    3. Point Source Detection and Photometry
    4. Band Merging and Bandfills
    5. Optical Source Associations
    6. Extended Source Identification and Photometry
    7. Position Reconstruction
    8. Artifact Identification
    9. Photometric Calibration
    10. Catalog Generation
  4. Caveats and Limitations of Sampler Products
    1. Redundant sources in scan overlap regions
    2. Point Source Catalog Quality Flags
    3. Artifacts From Very Bright Stars
    4. Position errors in regions of low astrometric reference star density
    5. Point Source Photometric Uncertainties
    6. Extended Source Photometric Uncertainties
    7. Asteroids


I. Introduction

It has been nearly 30 years since the last large-area near-infrared survey of the sky was carried out. The Two Micron Sky Survey (TMSS; Neugebauer & Leighton 1969) scanned 70% of the sky and detected ~5,700 celestial sources of infrared radiation. Since that time there has been a revolution in the development of infrared detector technology. New, large format, sensitive array detectors can now detect astronomical objects over 100 million times fainter than those detected in the TMSS.

The Two Micron All Sky Survey (2MASS) project is designed to close the gap between our current technical capability and our knowledge of the near-infrared sky. In addition to providing a context for the interpretation of results obtained at infrared and other wavelengths, 2MASS will provide direct answers to immediate questions on the large-scale structure of the Milky Way and the Local Universe. The optimal use of the next generation of infrared space missions, such as HST/NICMOS, the Space Infrared Telescope Facility (SIRTF), and the Next Generation Space Telescope (NGST), as well as powerful ground-based facilities, such as Keck I, Keck II, and Gemini, require a new census with vastly improved sensitivity and astrometric accuracy than that previously available.

To achieve these goals, 2MASS is uniformly scanning the entire sky in three near-infrared bands to detect and characterize point sources brighter than about 1 mJy in each band, with signal-to-noise ratio (SNR) greater than 10, using a pixel size of 2.0". This will achieve an 80,000-fold improvement in sensitivity relative to earlier surveys.

2MASS uses two new, highly-automated 1.3-m telescopes, one at Mt. Hopkins, AZ, and one at CTIO, Chile. Each telescope is equipped with a three-channel camera, each channel consisting of a 256×256 array of HgCdTe detectors, capable of observing the sky simultaneously at J (1.25 microns), H (1.65 microns), and Ks (2.17 microns).

The immediate scientific benefits from the 2MASS survey include:

The northern 2MASS facility began routine operations in 1997 June, and the southern facility in 1998 March. As of 1998 December, the time of the 2MASS Sampler Data release, nearly 50% of the sky has been observed (perhaps 10% of that area will be reobserved because of non-optimal survey conditions). Analyses of the data from the ~20% of the sky that has been processed show that they meet and often exceed the Level 1 Science Requirements for the Survey.

1. Objectives and Scope of 2MASS Sampler Data Release

The first large incremental 2MASS data release, covering over 3,000 deg2 of sky, is planned for the spring of 1999. The objective of the 2MASS Sampler is to introduce the astronomical community to the content and format of the 2MASS datasets, and to the web-based Access Tools, and to provide an opportunity for the 2MASS project to receive community feedback in preparation for Spring release. Finally, the Sampler is intended to enable the community to carry out scientific investigations with the 2MASS dataset for the first time.

The 2MASS Sampler accomplishes this introduction with a small representative set of data drawn from observations obtained at the Northern 2MASS facility on the night of 1997 November 16 UT ("971116n", hereafter). Approximately 63 deg2 of northern sky were covered by these observations. The Sampler release datasets include 5,658 compressed 512×1024 pixel (1"/pixel) Atlas Images in the three survey bands (the Atlas Images are compressed with the task hcompress), and Catalogs containing positional and brightness information for 227,197 Point and 2,133 Extended sources selected using safe, but not overly conservative, thresholds, to provide a realistic example of the data the community can expect to find in the larger data releases to come. Also provided on the 2MASS Sampler CD-Rom are a selection of JPEG renditions of composite three-color Atlas Images and Image Mosaics drawn from the 2MASS Image Gallery.

It should be emphasized that the products included in the 2MASS Sampler, as well as the upcoming large incremental data releases, are the results of the best-effort processing of data from the Survey. These data do not yet benefit from all experience that will be gained over the full Survey, nor have they undergone all the rigorous analyses that traditionally accompany data releases at the end of missions. However, the benefits of releasing data to the community now exceed the potential risks, and it is hoped that the feedback on the data products and documentation from the community will ultimately contribute to a better final product. The knowledge gained as the Survey continues, and from the feedback received from users will be incorporated when the entire 2MASS dataset is reprocessed at the completion of the Survey observations. Users are recommended to review the various caveats below.

The characteristics of the Sampler Point Source catalog are

  1. a source is not identified with a known artifact
  2. a source lies >5" from the edge of a survey scan
  3. a source must be brighter than one of the following requirements:
    Band
    Single Band Detection
    ~SNR
    Multi-Band Detection
    ~SNR
    J
    16.0
    (12:1)
    16.5
    (7:1)
    H
    15.5
    (8:1)
    16.0
    (5:1)
    Ks
    15.0
    (10:1)
    15.5
    (7:1)

  4. a floor on the photometric uncertainty of 0.015 mag has been applied (Note that this floor is unique to the Sampler Point Source Catalog, and will probably be replaced in the Spring 1999 release with the unrevised measurement errors as well as the total photometric error estimates that include calibration and other systematic uncertainties)
  5. positional uncertainties have been updated to be self-consistent with scan-to-scan overlap positional offset information
  6. bright star artifacts have been cleaned by visual inspection
  7. redundant sources in scan-to-scan overlap regions have not been rectified (This is unique to the 2MASS Sampler so users may use the independent measurements of objects to gauge the quality of the data. Starting with the Spring 1999 data release, only one apparition of an object will be reported in the Catalogs.)
  8. detections of known asteroids, summarized in a separate table included with the Sampler, have not been removed from the Catalog.

The selection criteria for the Extended Source catalog are

  1. the brightness must exceed one of the following brightness limits (measured in 7" fiducial apertures):
    Band
    Mag. Limit
    J
     15.0
    H
     14.3
    Ks
     13.5

  2. the classification flags "extd" OR "galaxy" <=1.4
  3. in-scan duplicate objects are eliminated with only geometric consideration, such that the source farthest from an edge is included
  4. artifacts have been cleaned by visual inspection.

The sky coverage of the Sampler in equatorial coordinates is shown in Figure 1; in galactic coordinates, in Figure 2.

Up to 10% of Point and Extended Source Catalog objects may be duplicates because of scan overlaps. Differential point source counts for the 2MASS Sampler, from which extended sources have not been removed, are shown in Figure 3, where the blue line denotes J-band; green line, H-band; and, red line, Ks-band.

Photometric repeatability for point sources in the P161-D calibration field are shown in Figure 4. The black crosses represent the RMS dispersion about the mean magnitude plotted versus the mean magnitude of all sources detected at least 16 out of the 18 times the field was observed during the night. Red points denote sources detected fewer than 16 out of 18 times. The green bars indicate the mean RMS averaged in 0.5-mag bins. The top panel shows data for the J-band; H-band is in the center panel; and, Ks is in the bottom panel. The horizontal blue lines indicate signal-to-noise SNR=10 levels, and the vertical blue lines indicate the Level 1 Requirement magnitudes for SNR>10. These data satisfy the requirements for photometric sensitivity and precision in all three bands.

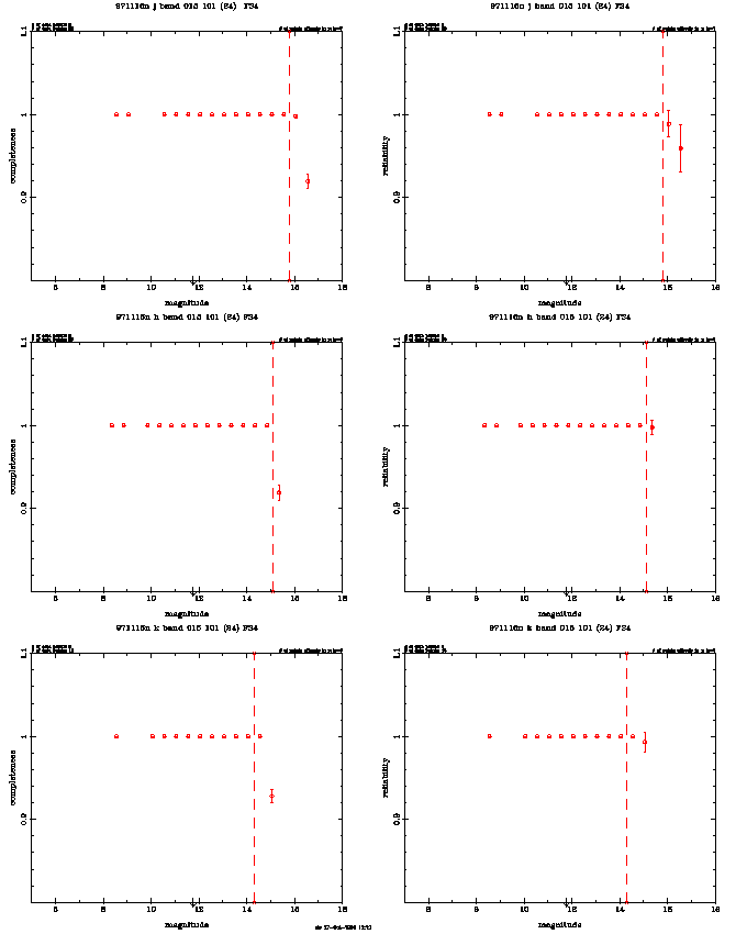
The differential completeness (left) and reliability (right) are plotted as a function of magnitude derived from the observations of the FS4 calibration field in Figure 5. J, H, and Ks values are shown in the top, middle and bottom panels, respectively. The dashed vertical lines indicate the magnitudes specified in the Level 1 Science Requirements for 99% completeness and 99.95% reliability. Note that the vertical scale on these plots ranges from 0.8 to 1.1.

Figure 6 shows the JHKs color-color diagram for the 209,396 3-band-detected point sources (yellow=SNR(Ks)>40; blue=SNR(Ks)>20; black=SNR(Ks)<20); red and green lines indicate dwarf and giant tracks, respectively, from Bessell & Brett [1988, PASP, 100, 1134]; the diagonal black line indicates the reddening vector for AV=5 mags).

Figure 7 shows the JHKs color-color diagram for the 2MASS Sampler Extended Source Catalog. The black points show extended sources that are found in the Sampler. For informational purposes only, red triangles indicate double stars, and red crosses indicate triple stars. The multiple stars are not included in the Extended Source Catalog. The green lines show the Bessell & Brett (1988) dwarf and giant star tracks. Also overlaid on the plot are the K-correction curves for SAB (magenta) and elliptical (grey) galaxies. The tickmarks on those curves indicate increments of 0.1 in redshift, starting at z=0 on the left. The dashed diagonal blue line indicates how a color criterion can be applied to discriminate between galaxies and multiple stars.

The differential extended source counts for 2MASS Sampler are shown in Figure 8 (blue line=J; green line=H; and, red line=Ks).

The internal RA (top) and DEC (bottom) positional repeatability of all sources in the P161-D calibration field are shown in Figure 9 versus Ks magnitude. As in Figure 4, the black crosses denote sources detected at least 16 out of the 18 times the field was scanned, red points indicate sources detected less than 16 times, and the green bars show the average positional RMS in 0.5-mag bins. The full scale in each panel is 0.5". The internal positional consistency is outstanding.

Finally, the distribution of position residuals for 1204 ACT stars observed on 971116n are shown in Figure 10. Red lines show the distribution of the difference between catalog and positionally-reconstructed RA, and blue lines show the DEC differences (see the section on 2MASS positional reconstruction below). The 1-sigma values for each distribution are ~0.1".

The Sampler is being released to the community via a CD-ROM and also on-line via the IRSA CatScan and Survey Visualizer Web interfaces.

2. Acknowledgments

The Two Micron All Sky Survey is a joint project of the University of Massachusetts and the Infrared Analysis Processing and Analysis Center (JPL/Caltech). The University of Massachussetts is responsible for the overall management of the project, the observing facilities and the data acquisition. The Infrared Processing and Analysis Center is responsible for data processing, data distribution and data archiving.

Observing facilities at Mt. Hopkins and Cerro Tolo are operated by the Smithsonian Astrophysical Observatory (SAO) and the National Optical Atrononomy Observatories (NOAO) respectively.

2MASS is funded by the National Aeronautics and Space Administration (NASA) and the National Science Foundation (NSF).

The 2MASS Point Source Catalog is dedicated to the memory of Dr. Robert M. Light (1959-1998).

3. Referencing 2MASS

a. 2MASS Source Naming Convention

Source designations for objects in 2MASS Catalogs should be given as:

2MASxx Jhhmmss[.]s ± ddmmss.

The brackets and period are not explicitly in the name, and are shown above only to illustrate that the last digit before the declination sign is tenths of RA seconds. The xx in the prefix corresponds to one or two characters that will vary depending upon the catalog from which the object was taken. For the 2MASS Sampler Catalogs, the prefixes are as follows:

The suffix conforms to IAU nomenclature convention and is the sexigesimal J2000-equinox RA and declination, hence the "J" designator.

The 2MASS designation is not tabulated explicitly for entries in the 2MASS Sampler Catalog, but it can be constructed from the source RA and DEC. Sources will be tagged with their unique identifiers beginning with the large Spring 2MASS data release. Please note that the "cntr" field listed for each entry in the Sampler Point and Extended Source Catalogs is not a valid or unique 2MASS source identifier! Users should not use it as a means of identifying or reference 2MASS objects.

b. Acknowledging 2MASS in Publications

Researchers are asked to include the following acknowledgment in any published material that makes use of data products from the Two Micron All Sky Survey (2MASS):

"This publication makes use of data products from the Two Micron All Sky Survey, which is a joint project of the University of Massachusetts and the Infrared Processing and Analysis Center, funded by the National Aeronautics and Space Administration and the National Science Foundation."

II. Contents of the 2MASS Sampler Data Release

The contents of the 2MASS Sampler are Point Source and Extended Source Catalogs, and compressed Atlas Images. On the CD-ROM version of the Sampler release the contents also include the hcompress software, to uncompress the Atlas Images, and an Image Gallery, culled from the image gallery on the IPAC 2MASS webpage.

Catalogs

Point Source Catalog

The 2MASS Sampler Point Source Catalog contains position and brightness information for 227,197 objects. Note that up to 10% of Point Source Catalog objects may be duplicates because of scan overlaps. The format of the catalog records is given here.

Extended Source Catalog

The 2MASS Sampler Extended Source Catalog contains position, brightness, and basic shape information for 2133 objects. Note that up to 10% of Extended Source Catalog objects may be duplicates because of scan overlaps. The format of the catalog records is given here.

Atlas Images

The Sampler includes 5,658 compressed 512×1024 pixel (1"/pixel) Atlas Images in the three survey bands. These Atlas FITS Images have been compressed with the task hcompress. This is a lossy compression routine, so the uncompressed images are not recommended for photometric uses.

Software

hcompress

The Atlas Images included in the Sampler have been compressed with the task hcompress. Hcompress is the image compression package written by Richard L. White for use at the Space Telescope Science Institute. The task is a very good and fast compression algorithm for astronomical images. More information, including full documentation, about the task can be found on the STScI webpage. The CD-ROM Sampler release provides both the decompression binary for Unix machines and the compression source code.

Gallery Images

The gallery images on the CD-ROM version of the Sampler are three-band composites constructed from 2MASS Atlas Images throughout the sky, and are in JPG format. These images provide an indication of the types of objects that will be available in future large incremental data releases of both northern and southern data. They are infrared images and therefore must be mapped into false colors: J light (1.2 µm) into blue, H light (1.6 µm) in green, and Ks light (2.2 µm) into red. The Atlas Images are produced in the 2MASS Production Processing System. For all images, north is up and east is to the left. They are of various solar system, Galactic, and extragalactic objects, including asteroids, star-forming regions, and nearby galaxies and galaxy groups. Each gallery image carries the title of the object which it depicts. The gallery images typically cover areas with dimension 8'×11', although larger image mosaics can cover areas of more than 1° on a side. The gallery images are typically about 200 kB to 1 MB in size, in JPG format. Image mosaics were constructed by E. Kopan (IPAC).

Ancillary Files

The individual ancillary files are linked to this main document.

III. 2MASS Overview

1. Facilities

a. Telescopes

The 2MASS project is being carried out with two identical 1.3-meter aperture, open-tube, equatorial fork-mount telescopes. These telescopes have been provided with a Cassegrain focus mount for the infrared cameras and a secondary mirror which is articulated in the declination direction. During survey data-taking the telescope moves continuously in declination at approximately 57"/second, while tracking in hour angle at the sidereal rate. The articulated secondary executes a sawtooth pattern of motion which freezes the image of the sky on the focal plane during the frame exposures.

The northern telescope is located at 2306 meters elevation on a ridge below the summit of Mt. Hopkins, Arizona. (N 31° 40' 50.8", W 110° 52' 41.3"). The northern telescope is operated by the Whipple Observatory under contract to the University of Massachusetts.

The southern telescope is located at 2171 meters elevation on a ridge below the summit of Cerro Tololo, Chile. (S 30° 10' 3.7", W 70° 48' 18.3"). The southern telescope is operated by the Cerro Tololo Inter-American Observatory under contract to the University of Massachusetts.

The telescopes were designed, manufactured, and installed by M3 Engineering and Technology Corp., Tucson, AZ. The optics were figured by Rayleigh Optical Corp., Tucson, AZ. The telescope control system software was provided by Comsoft, Tucson, AZ.

Images of the telescopes and observatories can be found here.

Optics:
Primary Mirror: 1300 mm diameter, radius 5200 mm, conic constant -1.000
Secondary Mirror: 232 mm diameter, radius 965.7 mm, conic constant -1.847

The primary mirror is supported by flex rods on an 18-point Hindle mount. The primary is positioned radially by temperature-compensated plugs that press against the outer edge of the mirror. Both the primary and secondary mirrors have been fabricated from Corning ULE glass.

Position Encoding:
Heidenhain tapes with 40-µm bar spacing are attached to the declination and right ascension drive surfaces. Software provided by Heidenhain in the encoder interface interpolates between the bars. The least significant bit of the encoder interface is 0.039 µm on the tape. 1" on the sky corresponds to 5.9 µm on the right ascension drive surface and 3.0 µm on the declination drive surface.

Focus stability:
The primary-secondary mirror spacing is fixed by invar rods. The residual thermal expansion coefficient is 6 µm per °Celsius. The focus setting is encoded by a 40-µm bar spacing Heidenhain tape (interpolated to 0.039 µm). The focus setting repeatability is approximately 5 µm. On command the focus mechanism searches for an index mark on the Heidenhain tape and then moves to a software determined set point. The focus is automatically adjusted for changes in telescope temperature (northern and southern telescopes) and elevation angle (northern telescope only).

Control system and telescope drives:
The control system is a DOS-based program called PCTCS. This software has been provided by COMSOFT. The telescope is positioned by friction contact capstans driven by DC servo motors.

Pointing accuracy without correction:
The pointing accuracy without corrections is approximately 30" on the sky. The polar axis of the telescopes is within 30" of the true poles.

Pointing accuracy with software correction:
Pointing corrections are made within the PCTCS control system software. The correction coefficients are determined by analysis using the TPOINT program provided by Patrick Wallace. After correction the RMS pointing error is less than 7" over the range -4.25h to +4.25h and -30° to +80° with the IR camera installed.

b. Camera and Detectors

A detailed description of the 2MASS camera optical design appears in Milligan et al. (1996, SPIE Proceedings Volume 2863, p2).

Cryostat and Optical Configuration

Each 2MASS camera consists of a liquid nitrogen cryostat which contains three NICMOS3 arrays. A raytrace of the system shows that each array views the same region of the sky via beamsplitting dichroics. The light passes through both dichroics to the Ks-band array. The first dichroic reflection feeds the light to the J-band array. All three optical paths share the same first element which lies behind a cryogenic field stop. Each optical path has six other lenses. This set of six lenses is identical for each band. The lenses are composed of water-free fused silica (Infrasil) or calcium fluoride. All lens surfaces are spherical. All optical elements are anti-reflection coated and the integrated optical assembly transmits ~80% of the incident light. A band-limiting interference filter located near a pupil image establishes the system bandpass. The 2MASS bandpasses are:

J-band 1.11 - 1.36* microns
H-band 1.50 - 1.80 microns
Ks-band 2.00 - 2.32 microns
* The long wavelength cutoff in this band is defined by atmospheric H2O and CO2 absorption. Unsaturated water absorption also occurs at 1.14 microns. The data pipeline routinely tracks smooth zeropoint variations as large as 0.1 magnitude in the course of a night in this band, presumably due to variation in atmospheric water vapor content.

The detector quantum efficiency, the anti-reflection coatings, and transmission of the dichroics, window, and optical elements are relatively flat across the bandpasses, so the band response functions are believed to be square to a good approximation. These values are all based on manufacturer's specifications. The completed camera optical assembly forms a modular unit which attaches to the cryostat cold plate adjacent to the three detector arrays.

The optics relay approximately 90% of the energy of a laboratory point source onto one 40 micron NICMOS3 pixel. When mounted on the 2MASS telescopes each pixel subtends approximately 2.0" on the sky. Platescale varies by <1% between the three bands.

Electronics

The 2MASS readout electronics sample each pixel with 16-bit precision with a pixel dwell time of 3.0 microseconds. A complete readout of the array requires approximately 51 milliseconds. In order to preserve a constant integration time spatially across the array, the reset cycle clocks with precisely the same timing as a readout cycle. A 2MASS frame results from the following sequence of events:

This figure shows the integration cycle timing vs. the position of the telescope secondary mirror.

The gain of the 2MASS electronics is approximately 8 electrons per analog-to-digital count. The array bias voltage has been set to 1.00 V to produce a dynamic range of 50,000 counts or 400,000 electrons. The system read noise in a doubly correlated difference is 5 counts or 40 electrons. In the standard 1.3 sec integration, sky photon noise dominates the read noise in all three band, although under extremely low-airglow conditions the read noise and photon noise in the J-band become nearly equal.

2. Data Acquisition

a. Scanning Strategy

The 2MASS arrays image the sky while the telescope scans smoothly in declination at a rate of 57" per second. The telescope scans are designed to cover "tiles" 6° long in the declination direction and one camera frame (8.5') wide in right ascension. While the entire telescope scans in the declination direction at a constant right ascension, the telescope's secondary mirror tilts opposite the scan direction to momentarily freeze the focal plane image. At the end of each Reset-Read-Read cycle described in Section III.1.b, the secondary flies back to its start position and freezes a new piece of sky displaced by about 1/6 frame from the previous frame. The dead-time between frames is less than 0.1 sec, and is used for for secondary flyback and array reset. When accounting for this dead-time and the time to point the telescope and initiate a scan, the 2MASS observing system integrates on sky approximately 84% of each night. This movie shows several consecutive frames from a scan through the globular cluster M92.

The camera field-of-view shifts by approximately one-sixth of a frame in declination from frame-to-frame. This figure illustrates the relationship between individual camera frames and survey tiles. The camera images each point on the sky six times for a total integration time of 7.8 sec. The scan rate (and, thus, the frame-to-frame declination offset) and array orientation are set, so that each of the six apparitions of a given star occur at a different location relative to a pixel center. This sub-pixel "dithering" improves the ultimate spatial resolution of the final coadded Atlas Images relative to a single undersampled image taken with 2.0" pixels. This image compares a single survey frame with the final Atlas Image product.

At the end of a 6°-long scan the telescope shifts position by 90% of a frame width in right ascension and begins another scan. Thus, all 2MASS tiles overlap by 10% in right ascension (approximately 50") and data from this overlap region is used to monitor the photometric consistency of the survey from scan to scan. 2MASS tiles are slightly longer than 6°, to provide for a full 8.5' frame overlap in the equatorward direction between declination bands.

b. Survey Tiles

Tile Definitions

The sky has been divided into 59,650 unique "tiles" for 2MASS operations. The right ascension width of a tile is 504", set by the intersection of the sky coverage of each of the three arrays. The declination length of each tile is 6° plus one full frame (8.5') to provide overlap between tiles in adjacent declination "bands". Tiles observed from the northern observatory have this declination overlap located on the southern end of the tile while tiles observed from the southern observatory include overlap on the northern end of the tile. This results in a double overlap at the boundary between tiles observed from the northern site and those observed from the southern site.

Tile (RA) overlap includes: a 51".2 overlap as required by galaxy coverage, a 10" pointing error compensation, a 6" compensation for processing requirements, and a variable precession compensation (up to 5".6 for the 0° declination band, 1" for the 6° declination band, and 0" for all other declination bands).

Each survey tile consists of 273 frames with a step size of 82".6 at the northern site and 274 frames with a step size of 82".3 at the southern site. The slight difference in step size results from the very small plate scale differences between the two optical systems. The number of frames includes the overhead needed at each end to get a full 6 frames deep sky coverage of 6° in declination plus 1 frame of overlap with adjacent tiles in the declination direction.

The rotation and platescale of each array are given below:

North South
BandPlate ScaleRotationPlate ScaleRotation
("/Pixel)(°)("/Pixel)(°)
J1.99660.311.9894+0.22
H2.00600.381.9919+0.25
Ks1.98390.271.9799-0.18
The optimal rotation and resulting step sizes result in a well-spaced sub-pixel sampling for each wavelength.

Tile Numbering

Tiles are described by their declination band (as defined by the equatorward edge of the tile ignoring tile overlaps, e.g. +0, +6, +12,... and -0, -6, -12, ...) and then by the RA of their western equatorward corner. Tiles observed by the northern observatory are numbered in the following fashion: starting with tile 0 which is located at 0h00m00s RA, +0 DEC, tiles are numbered with increasing RA and then with increasing DEC up to tile 29824 at 23h52m55".9 RA, +84 DEC. Tiles in the negative declination bands are numbered similarly starting with tile 100000 at 0h00m00s, -0 and ending with tile 129824 at 23h52m55.9s RA, -84 DEC.

Tiles observed from the southern observatory are numbered in the same way as those observed from the north, but have a value of 200000 added to the tile number. This numbering scheme is designed to allow the same region of sky to be observed by both the northern and southern observatories as needed without conflict.

To determine in which tile a given coordinate falls, use the on-line utility CoordSearch.

Sky Coverage Boundaries

The northern survey has begun observations of the +12 declination band and north. The southern survey has begun observations of the -0 declination band and south. The declination boundary between observations from the two observatories will be determined closer to the end of the survey.

Time Requirements

The integration time for a frame includes: two 50 ms resets (one occurs during the secondary flyback period, the second starts as the secondary starts scanning), one 51 ms R1 integration, one 1.3 sec R2 integration. An additional 5 ms of padding is added to allow for the trigger pulse and to center the integration period on the scanning ramp. The total dwell time on the sky for a frame is thus 1.455 sec.

A 273 frame survey scan takes 6.97 min (including overhead). Allowing for telescope slew time, an average survey tile takes 7.05 min. A full calibration observation consisting of six calibration tiles takes 10 min (including overhead and telescope slew time).

c. Photometric Calibration Strategy

First-order photometric calibration for 2MASS is evaluated nightly using observations of calibration fields made at regular intervals. Photometry of standard stars in these fields is used to derive the photometric zero points in each of the three survey bandpasses as a function of time during each night. Atmospheric extinction coefficients are derived from 2MASS observations made over long periods.

Calibration Tiles and Observations

2MASS calibration tiles are 1° long in declination (plus overhead), and are covered by scans containing 48 frames. Each calibration observation consists of six independent scans of a calibration tile, made in the same freeze-frame scanning mode and scan rate as the normal survey tiles. Each scan is made in alternating directions and is cross-stepped 5" in RA from the previous one to minimize systematic pixel effects.

Calibration Strategy

At the beginning of the Survey, two calibration fields were observed every two hours during a night. Beginning on 11 October 1997 UT, and therefore including the night of 2MASS Sampler observations, the calibration strategy was modified so that one calibration field was observed approximately every hour during a night. Normal 2MASS operations are started with a calibration observation, and the actual calibration interval is adjusted so that the final calibration observation is coincident with morning twilight.

The calibration strategy emphasizes the measurement of the photometric zero point of the night, so a few calibration fields are and measured multiple times during a night. The selected fields are alternated so the same field is rarely observed on sequential hours. Repeated measurements of calibration fields during at night at a variety of elevation angles are used to develop long-term atmospheric extinction statistics.

There were 12 separate calibration observations made on the 2MASS Sampler night, covering 5 different calibration tiles. Thus, there were actually 72 independent scans of calibration tiles made.

2MASS Calibration Fields

The 2MASS calibration fields, or tiles, were selected to be centered on one or more primary calibration stars drawn from either the list of faint near infrared standard stars developed by Persson et al. (1998 AJ, 116, 2475) or the UKIRT group of faint, equatorial near infrared standard stars (Casali and Hawarden 1992, JCMT-UKIRT Newsletter, No. 4, 33)

Calibrators were selected so that there would be a set of equatorial and ±30° declination fields on approximately 2h RA centers around the sky, if possible. The equatorial fields can be observed from both hemispheres to develop short-term tie points between the observatories, and the high declination fields will transit close to the zenith at Mt. Hopkins or Cerro Tololo, providing low airmass calibration. Because the Persson et al. and UKIRT lists have very few stars at +30° declination in the 20-22h range, a field was defined in that area and the standards in it were calibrated internally to 2MASS over the first few months of observations. Incidentally, this field was selected to cover the Abell 2409 galaxy cluster so that long-term monitoring of galaxy photometric performance in the Survey could be made.

Secondary Calibration Stars

Although each 2MASS calibration tile is centered on one primary calibration star, there are dozens if not hundreds of high signal-to-noise stars measured during every scan of those tiles. It did not take long to begin to accumulate a wealth of highly accurate relative photometry for the secondary stars in each field, calibrated in the internal 2MASS system. Within a few months of the start of survey observations, the secondary standard star photometry was included into the calibration calculations, greatly improving the accuracy of the zero point determinations for each night. For example, the calibration fields observed on the 2MASS Sampler night contained 24 (92409), 7 (90004), 35 (90290), 21 (90161) and 26 (90067) total standards stars, respectively. The 2MASS secondary star network will continue to improve and grow as the survey progresses, and these will be incorporated into the photometric solutions.

3. Data Processing

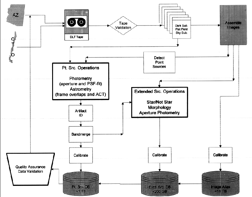
Raw data acquired at the 2MASS observatories is transported to the Infrared Processing and Analysis Center (IPAC) via DLT tapes. At IPAC, the raw data is reduced using the 2MASS Production Processing System (2MAPPS). 2MAPPS is designed to exploit 2MASS's innovative data acquisition techniques to produce image, point and extended source data.

The 2MAPPS High Level Flowchart illustrates the basic components of the 2MAPPS system. Data from each 6o 2MASS scan are processed as a unit, with the J, H and Ks frames processed in parallel. In general, data processing within 2MAPPS is a linear process with the output of each step being the input for each subsequent step. Iterations are held to a minimum for efficiency.

The basic processing steps are as follows:

The sections below provide more detailed descriptions of each of these processing phases within 2MAPPS.

a. Instrumental Frame Calibration

Instrumental characterization data is acquired during nearly every night of 2MASS operations. These data include series of dark measurements (frames acquired with a cold shutter obscuring the detectors), and relative pixel responsivity measurements (flat-fields) made of the rapidly dimming or brightening twilight sky.

Nightly bias correction images in each band are generated in the pipeline processing by combining all of the dark sequence frames. Responsivity images (multiplicative gain corrections) are derived from the measurements of the twilight sky by charting the relative change in intensity seen in every pixel in response to the changing illumination level of the twilight sky. The resulting pixel-by-pixel responsivity images are normalized to have a median of unity. Each nightly responsivity image in each band is compared to a running mean of the responsivity maps from the previous five nights. If the nightly flat-field is in good agreement with the running "canonical" flats, the new measurements are averaged in to generate new "canonicals". If the nightly responsivity measurement deviates from the running average, such as might occur if clouds contaminate the twilight measurements, the nightly measurements are rejected and not added to the "canonical" responsivity images.

The nightly dark and responsivity measurements allow the 2MASS detector systems stability and performance to be monitored with unprecedented accuracy. Deviations as small as a few percent from long-term mean dark and response "canonical" are easily detected.

For each R1 and R2-R1 data frame in a scan, the appropriate nightly dark frame is subtracted, and the corresponding average "canonical" responsivity image is divided into it. Within each scan, a series of additive sky illumination corrections are derived by creating sigma-trimmed averages for blocks of at least 42 dark-subtracted, flat-fielded sky frames. The trimmed averaging rejects any sources within the frames and yields a measurement of residual dark-sky illumination patterns on the detectors within each block. This so-called "sky offset" frame is then subtracted from each input frame, resulting in a data frame ready for source detection and combination into the final survey Atlas Images. The background levels of the final instrumentally calibrated frames correspond to the original sky levels.

b. Atlas Image Generation

The reduced R2-R1 frames for each 6°-long scan are spatially registered and combined into a series of 8.53' × 17.07' (512 × 1024 pixel, 1" per pixel) Atlas Images. Each Atlas Image represents the coaddition of six overlapping frames as described below. The images are centered on the cross-scan coverage, and adjacent images within a scan overlap in declination by 54". The J, H, and Ks band images are produced separately, but are registered onto a common astrometric grid to facilitate three-color investigations. Atlas Images are written in FITS format, and contain both the astrometric solution for the image in the J2000 coordinate system and the nightly calibrated photometric zeropoints within the FITS header (keyword "MAGZP"). Due to space limitations, the Atlas Images provided in the Sampler have been compressed using a lossy compression algorithm (cf II.3.a).

The Atlas Images are produced by first spatially registering the dark-subtracted, flattened, and sky-offset subtracted R2-R1 frames relative to each other, using the estimated positions of point sources in the frames (cf III.3.g). These frames are placed on the output Atlas Image coordinate grid one at a time, using a flux preserving interpolation kernel. Camera pixels which have poor responsivities, are excessively noisy, or are affected by transient effects such as cosmic rays (as identified by unconfirmed single frame detections), are masked off during the interpolation procedure. Prior to adding the frame to the output image, the frame background is adjusted to match that of those frames already combined into the image, by removing the median of the differences at each point in the sky in the overlap region between the incoming frame and the previously-combined frames. This process produces seamless images, except in cases where the background levels vary rapidly with time due to clouds, atmospheric OH emission, or severe optical effects from extremely bright objects (such as beta Pegasi). The final output Atlas Image represents the average of six such interpolated, background-adjusted frames. Because some pixels are masked, any one pixel in the Atlas Image may represent the average of anywhere from zero to six frames. Output pixels consisting of zero or one frame are set to zero in the compressed Atlas Images.

c. Point Source Detection and Photometry

Overview: As described in the introduction to section III.3, the detection and measurement of point sources is done several times during the processing of a 2MASS scan. Each detection and measurement step serves a different purpose. Sources are first detected and aperture-photometered from the individual dark-subtracted, flattened and sky-offset corrected R1 and R2-R1 frames. These detections provide positions to tie the frames together for Atlas Image generation (cf. III.3.b), and photometry for objects that are saturated in the R2-R1 (1.3 sec) exposures. Source detection is done on coadded Atlas Images for maximum sensitivity. Both profile-fit and aperture photometry is carried out for these fainter detections, although the measurements are actually carried out on the individual R2-R1 data frames to avoid flux biases caused by masked or aberrant pixels. The entries for each object in the 2MASS Point Source Catalog contain a "default magnitude" field for each of the three survey bands (j_m, h_m and k_m). These values represent what are believed to be the best estimate of a source's brightness in each band. The origin of those magnitudes is described in the "rd_flg" parameter, so users are urged to consult that flag for all objects. The subsections below describe each of the detection and photometry algorithms in more detail.

Frame Source Detection and Aperture Photometry

Point sources are detected in each instrumentally-corrected R1 and R2-R1 frame by identifying local intensity maxima. Positions are measured for these detections using a maximum-likelihood estimator and brightnesses are measured using aperture photometry within a 4" (two camera pixel) radius aperture. The aperture photometry on a frame is performed by summing pixels entirely within the aperture and interpolating pixels partially within the aperture. The sky background for each object is computed in an annulus with an inner radius of 24.0" and an outer radius of 30.0". Pixels in the sky annulus are entirely included or excluded based on the distance of their centers from the source. The sky value is estimated by first excluding saturated, masked, or unreasonably low pixels. A sigma-trimmed median of the surviving sky pixels is then used as the sky estimate. Aperture photometry is performed on a frame-by-frame basis, and the photometry and positions from the maximum six possible overlapping frames are combined using an unweighted average.

READ1 Aperture Photometry

The photometric dynamic range of 2MASS is extended by the use of the 51 ms R1 exposures. Sources saturate on the 1.3 sec R2-R1 exposures at magnitude levels of approximately 8.0, 7.5 and 7.0 at J, H, and Ks, respectively. For objects that are found to have one or more saturated pixels within the measurement aperture on the R2-R1 frames, the "default magnitude" quoted in the Point Source Catalog records is taken from the aperture photometry from the R1 frames. This is indicated by a value of "1" in the "rd_flg" parameter in the point source records, for the appropriate bands. Positions measured from the R1 frames are used in the final source position estimation only if R2-R1 profile fit results are not available.

The aperture photometry measured in this step for non-saturated R2-R1 sources from individual frames is not carried forward as part of the final source characteristics.

Faint Source Detection

The fainter, and thus majority of sources found by 2MASS are detected from the Atlas Images. Each Atlas Image is convolved with a zero-sum 4" FWHM Gaussian over a 13 pixel sub-array. The resulting zero-sum filtered image is thresholded, and for each maximum over threshold, a detection is identified and a rough position estimate is computed from the corrected centroid. This detections list is sent to the software module that computes the running estimate of the seeing during a scan, and to the photometry routines that compute the refined estimates of flux and position. The detection threshold used is 3.0 times the estimated noise level for the Atlas Image. The noise level is estimated as the difference between the 50% and the 15.87% quantiles of the image histogram.

Profile-Fit Photometry

The primary photometry and position estimation algorithm for each candidate detection from the Atlas Images is point source profile-fitting. This provides the most robust estimation for faint sources and objects in denser or more complex environments. Although the detection is done on the coadded Atlas Images, the point source fit is done by determining the optimal position and amplitude of an appropriate profile by minimizing the combined chi-square of the fit to the source on each of the six individual frames. The relative position offsets for the six frames has already been determined during the Atlas Image generation (cf III.3.b), so the only parameters that are allowed to vary during the fit are the amplitude and the x and y position of the profile relative to the "stack" of six frames. The resulting covariance matrix of the fit also returns measures of the brightness and position uncertainties, as well as the reduced chi-square goodness of fit. For the initial 2MASS data processing, no attempt is made to deconvolve single candidates with poor profile fits (i.e. large chi-square values). However, if the point source detection algorithm reports multiple candidates closer than approximately 5" (the precise number varies with the actual seeing), then the profiles will be fit to each detection simultaneously, iterating on the fit to properly account for the contribution of nearby sources to each component. Sources that are treated in this way have the "bln_flg" (blend flag) in the Point Source Catalog record set to values >1, where the value indicates the number of candidates fit simultaneously. Blend flag values >1 are therefore useful as indicators of possible confusion in regions of high source density.

Objects with valid profile-fit R2-R1 photometry (i.e. non-saturated and converged profile fit) have "rd_flg" values of "2" in the Sampler Point Source Catalog record. This corresponds to the great majority of all point sources in the Catalog.

Point Spread Functions and Seeing Estimation

The source contribution to the profile fit model is proportional to a point-spread-function (PSF) which is taken from a library of PSFs indexed by seeing for each band. PSF's are not derived "on-the-fly" during 2MASS pipeline processing because of the difficulty in automated PSF construction in much of the sky due to both very low and very high source density. PSF-derivation is also a cpu-intensive task, so the use of a PSF library results in much faster processing run times.

The library PSFs corresponding to specific seeing values were constructed empirically using from single 2MASS calibration scans having that average seeing value. Images of the 50 brightest stars in each scan are centroided and aligning, summed, and finally interpolated into a 0.1" grid. In addition to the PSFs themselves, an estimate of the uncertainty in the PSF (the "variance map") is also produced on the same grid and used by the profile fit analysis to estimate the total uncertainties in the resulting estimates. Selection of the calibration scans for PSF generation, and of the PSFs themselves, was based on criteria such as small variability of the seeing parameter during the scan, x- and y- central moments of the stars being equal (typically within 10%), and consistency with other PSFs taken under similar conditions. A single PSF is assumed to accurately characterize the point source profile across the 2MASS focal plane for the purposes of the data processing.

The appropriate PSF is chosen for the profile fitting photometry during the processing of a 2MASS survey scan by estimating the mean point source diameter (seeing) on spatial scales no finer than the length of an Atlas Image, 17', corresponding to a time interval in the scan of approximately 18 sec. The actual interval used to determine the seeing is driven by source density, and in low star density regions the interval can be up to 3 times longer. If the seeing is variable on timescales shorter than the seeing estimation response time, there can be a photometric error of up to several percent induced by a mismatch between the true image profile in the PSF used in profile-fitting photometry.

Aperture Photometry and Curve of Growth Correction

Aperture photometry is also performed for each candidate detection from the Atlas Images to provide a reference to the absolute photometric scale for the profile-fit photometry, statistics on the detectability of an object, and as a back-up source of brightness information when profile-fitting fails to converge to a valid measurement. As with the profile fitting, the aperture photometry is made at the position of the faint detections on the individual frames. The brightness is measured in a series of apertures ranging in radius from 3" to 14", in 1" steps, by summing pixels entirely within the aperture and interpolating pixels partially within the aperture. The sky background for each object is computed in an annulus with an inner radius of 14.0" and an outer radius of 20.0". Pixels in the sky annulus are entirely included or excluded based on the distance of their centers from the source. The sky value is estimated by first excluding saturated, masked, or unreasonably low pixels. A sigma-trimmed median of the surviving sky pixels is then used as the sky estimate. The aperture measurements from each of the six input frames are combined using an unweighted average. Aperture measurements are usually possible on six frames for each detection. However, if one of more of the frames contains a masked pixel within 4" of the source location, that frame is excluded from the the measurement. The aperture measurements from each of the remaining input frames are combined using an unweighted average. The "ndet_flg" parameter included in the Sampler Point Source Catalog record tabulates the number of frames on which a >3-sigma aperture photometry detection was made and the number of frames available for measurement, for each band of each source. For brighter sources, this can be used as a reliability indicator, and for fainter objects, it can be used as a sensitivity indicator.

The multiple aperture photometry for all sources observed under the same seeing conditions during a 2MASS survey scan is used to to determine the curve-of-growth correction to the aperture measurements. The curve-of-growth correction is defined to be the correction factor that must be applied to the "standard aperture" magnitude (measured in the 4" radius aperture) to an "infinite" size aperture. This is a way to account for any light that falls outside of this aperture without suffering from degraded signal-to-noise that would result from simply using the measurement from a large aperture. The curve-of-growth correction will be seeing dependent: when the seeing is poorer, the correction is larger. The curve-of-growth is evaluated by calculating the differences between successive aperture magnitudes for each R2-R1 source and testing for when the differences converge to zero, within measurement uncertainties. The correction is the median difference between the 4" aperture magnitude and the magnitude in the aperture at which the magnitude differentials become zero, for a large ensemble of stars. For the 2MASS Sampler night, the radius at which the curves-of-growth converged are typically 6-7", and the aperture corrections are typically 0.02-0.03 magnitudes.

The "default magnitude" given for most objects in the 2MASS Sampler Point Source Catalog is the profile-fit magnitude. The curve-of-growth-corrected "standard aperture" (4" radius) magnitudes (j_m_stdap, h_m_stdap and k_m_stdap) and uncertainties are also provided for most objects in the Point Source Catalog. On occasion, the profile-fitting photometry for a source will fail to converge, and no valid point-source photometry will be produced. If there exists a curve-of-growth-corrected aperture magnitude for such objects, this magnitude will be listed in the "default magnitude" entry, and the "rd_flg" for the appropriate band will have a value of "4." Extreme caution should be used in interpreting these magnitudes because they are usually evaluated in confused regions where there is often serious contamination in the sky annuli for the aperture measurements.

Photometric Normalization

The point source profile-fit photometry is tied to the absolute photometric scale of the system by normalizing to the curve-of-growth-corrected aperture photometry. This is done separately for all sources in a survey scan having the same seeing value, since the normalization can change with seeing. The median offset between profile-fit and curve-of-growth-corrected aperture photometry is calculated iteratively with 3-sigma rejection for all stars. The resulting offset correction is added to the profile-fit photometry, and this corrected value is the "default magnitude" listed in the Point Source Catalog record for most sources ("rd_flg" = "2").

The R1 aperture photometry for all sources is then normalized to the corrected profile-fit photometry, using objects that are both bright enough to have been detected in the R1 frames but below the R2-R1 saturation limit, and therefore having valid profile-fit photometry. There is typically 2-3 magnitudes of overlap to provide an empirical measure of any offset between the photometric scales. As with the profile-fit/aperture photometry normalization, the median offset between the R1 aperture and corrected profile-fit photometry for all available sources is calculated iteratively using 3-sigma rejection. This correction is then applied to the R1 photometry for all sources, and the corrected magnitudes are listed in the "default magnitude" fields for the Sampler Point Source Catalog for all objects saturated in the R2-R1 exposures ("rd_flg" = "1").

Brightness Estimation for Very Bright Stars

R1 aperture photometry is not valid for stars which are saturated in the R1 exposures. However, it has been determined from measurements of fainter stars that the brightness of the first persistence artifact is proportional to the brightness of the parent star. If a measurement of the first persistence artifact can be made on the R1 frames, then the brightness of the parent is estimated using that relationship. Bright stars that have photometry estimated in this way are flagged in the 2MASS Sampler Catalog with "rd_flg" values of "3". The calibration of the parent/persistence relationship is not very accurate, so the uncertainty of these brightness estimates is large, perhaps of order 0.5 mags.

For stars that are 1-2 magnitudes brighter than the R1 exposure saturation limits, the first-persistence artifact cannot be accurately measured because it is quite extended. No estimate of the brightness of such objects is made using 2MASS data. Placeholders for these bright stars are placed in the 2MASS Point Source Catalog, and approximate positions and brightnesses are provided from external catalogs. The positions are generally taken from the Hipparcos, ACT, or PPM catalogs, when available. Photometric estimates are taken from the Catalog of Infrared Observations (Gezari, Schmitz & Meade 1987, NASA Publication 1196). These "placeholder" Catalog entries have "rd_flag" values of "8". The positions and brightnesses of these entries should be used only with extreme caution, and are provided for informational purposes only. There are four such objects in the 2MASS Sampler Point Source Catalog.

d. Band Merging and Bandfills

As has been indicated, source magnitudes and positions are derived independently in each color band. The detections in each band are merged into a single source listing using the positions and uncertainties in each band. The merging algorithm is based on positional proximity, but contains hierarchical logic to rectify confused matches (i.e. when there is more than one possible match between bands). Updated positions are derived from signal-to-noise weighted averages from the bands in which there are detections, and in which the information in the contributing band is not considered to be confused. Sources which have possible confusion in the bandmerge process are indicated by the Confusion and Contamination flag in the Point Source Catalog record ("cc_flg" = "B").

When a merged source does not have a measurement in a given band, a band-fill is made by measuring the flux and noise in a 10" radius aperture at the source position on the Atlas Images of the undetected bands. The 2MASS Source Catalogs contain a 95% confidence upper limit for non-detected bands in the "default magnitude" fields, that is based on the measurement and uncertainty in the aperture, and the local noise in the image. The actual measured magnitude and error are also quoted for non-detected bands in the "standard aperture" magnitude fields so users may apply their favorite algorithm for evaluating upper limits. Note that negative flux aperture measurements are specially encoded since the brightness fields are listed as magnitudes.

e. Optical Source Associations

The 2MASS position reconstruction algorithms require matching infrared detections with objects in the primary astrometric reference catalog (ACT) and the higher density USNOA-2.0 catalog. For each 2MASS source matched to these optical catalogs, the identifier, blue and red magnitudes, and 2MASS-to-optical positional offset information from the ACT or USNOA catalogs is included in the 2MASS Sampler Point Source Catalog records. It is emphasized that these are not identifications between the infrared and optical sources, but only associations.

Possible optical associations for the 2MASS sources are found using a simple closest positional-match algorithm. The closest optical source to each 2MASS source, within a maximum separation of approximately 6" is reported. A match to an ACT source takes precedence over USNOA match. No attempt is made to find the best pairings of 2MASS and optical sources in the event an optical catalog object can be matched to more than one 2MASS source. The number of possible optical matches for each 2MASS point source within the 6" search radius is provided for each association. Also listed is the number of 2MASS sources the associated optical catalog object might have been associated with. These last two parameters provide some measure of possible confusion in the associations.

f. Extended Source Identification and Photometry

Overview: The extended source processing in 2MAPPS (GALWORKS) identifies sources that are resolved relative to the PSF and uses various apertures to measure the flux of resolved sources. Extended source processing operates independently on each of the individual Atlas Images in a scan, and does not have available the individual frame measurements for each source. Due to the survey strategy, extended source identification is complete only for galaxies smaller than the scan overlap size of 50", since some larger galaxies will not be contained on a single 2MASS scan or Atlas Image within a scan. GALWORKS operates on larger galaxies, flags galaxies that run into a scan boundary, and saves image "postage stamps" of all galaxies, including large ones (these postage stamps are not available for the 2MASS Sampler Release, but will be for the large Spring 1999 data release).

Two very important steps must occur for proper discrimination between point and extended sources. First, the seeing must be characterized throughout the scan to accurately determine the PSF used to measure whether a source is resolved. Second, the structure of the background across each Atlas Image must be fit and subtracted from each Image.

Extended source processing occurs after all detected sources have been characterized by the point source processor through artifact identification and band-merging, and hence the point source measurements for each source are available as a "seed list" for GALWORKS. This seed list contains nearly every extended source because of the robustness of the detection step (cf III.3.c). Sources that pass an initial screening are intensively examined for extent and their fluxes are measured. Sources passing further thresholds for extent are placed in the Extended Source Database. Catalog sources are eventually selected from that Database.

A publication is in preparation to accompany the Spring 1999 release of 2MASS galaxy data. The draft version is written for the user of the Extended Source Catalog, and already contains significant detail on the algorithms used for the extended source processor. It may be consulted with the caveat that this is a work in progress. Also, internal 2MASS working documents are referenced below to give further information on various topics, but note that these documents were written for the 2MASS team, and may refer in some parts of them to problems that were later fixed. The reader must be more alert in reading those documents than in reading this mini-Explanatory Supplement.

Seeing Characterization

An accurate characterization of the PSF is essential in reliably determining whether a source is resolved. Detecting galaxies in a ground-based mission like the 2MASS is thus exquisitely sensitive to atmospheric seeing and variations in telescope focus.

Most of the time, the seeing and focus vary slowly enough so that even in low source density areas the stars detected by 2MASS can be used to determine the PSF as a function of time. Such an estimate of the seeing is done previously in the pipeline to support profile-fitting photometry for point sources, but that estimate does not have the entire scan available at once. Thus the first step in GALWORKS is to more accurately determine the variation of seeing with time in each scan.

The seeing is measured by determining a size for each source above some magnitude thresholds, and then using a robust estimator to determine the mean size as a function of time, rejecting extended sources and single pixel events from being used by the estimator.

Infrequently, especially when the seeing FWHM is large, the variation in seeing occurs too rapidly to be tracked by the number of sources available. If the seeing FWHM is underestimated, true unresolved sources will be falsely identified as extended. A diagnostic has been developed that attempts to measure when this occurs, which seems to work well most of the time. This diagnostic shows that the Sampler night appears not to be troubled by untracked seeing.

Background Removal

Background removal is crucial to determining whether there is extended flux surrounding a source. If the background-removed image contains residual background near a source, the source will incorrectly appear to be extended, degrading the reliability of the catalog. If the image has removed too much background, flux around truly extended sources may disappear, causing incompleteness in the catalog.

Most of the time, the background variation in the Atlas Images is smooth enough to be fit with a cubic polynomial, after care is taken to mask out regions affected by sources. The cubic polynomial removes most structure at scales larger than 4-5'. Thus sources comparable to this size or larger will have compromised photometry.

The background-removal algorithm appears to work quite well most of the time. However, two sources of higher-frequency noise exist that are not removed by the current algorithm: electronic noise pickup in all three bands and rapid airglow variations at H.

Low-level electronic noise pickup can occasionally survive to the Atlas Images. Normally, the electronic noise pickup in the Images is negligible. However, the phase of the noise pickup can sometimes match the frame frequency and is large enough to cause photometric problems for extended sources. In the northern 2MASS camera, one side of the array exhibits variation with maximum amplitudes of ~0.20 DN and periods of 50-75", that can cause extended source flux errors of ~15%.

The background-removal algorithm is normally extremely successful in removing airglow variation. However, infrequently the airglow varies too rapidly and a small portion of airglow emission remains in the images. This appears to be a problem only at H band because this is the band in which the OH emission is strongest.

For more information, consult the working document (see caveat below) Data Artifacts.

Identification

About ~1600 galaxies brighter than K~13.5 are part of the 2MASS Sampler data set. A description of the expected completeness and reliability for the extended source catalog can be found here.

A subset of previously cataloged galaxies are automatically measured and extracted into the 2MASS database. This set of objects is selected based on the optical diameter, in this case, galaxies with a diameter greater than 1', as listed in the NASA Extragalactic Database (NED). For the larger Messier objects (and some NGC objects, for example), >5', they are typically too large to process with the 2MASS imaging data, and so are not processed or extracted into the 2MASS database. That leaves the remaining (>99%) of the sky for 2MASS to find and characterize galaxies. Extended sources are identified from point source detections. That is to say, we characterize each point source and decide if it is extended with respect to the point spread function (PSF). This is accomplished using a battery of star-galaxy discrimination parameters, including intensity-weighted moments, radial profile extent measures, asymmetry metrics and mean surface brightness flux measures. This set of operations is designed to eliminate point-like objects (re: stars) and minimize contamination from double stars (the primary reliability obstacle) and other false galaxies (e.g., artifacts from bright stars). An important step that precedes star-galaxy separation is careful removal of the image background, particularly at H-band which is severely affected by atmospheric "airglow" emission. Once a source has been deemed "extended" or a candidate thereof, its flux is measured using a disparate set of apertures, ranging from fixed circular to adaptive elliptical/circular apertures. The extended source information is extracted to a table and a small "postage-stamp" image (typically 30"×30" in size) is cut out from the J,H and Ks Atlas Images. Additional star-galaxy separation is performed as a post-processing step to further refine the reliability and aid in generation of the extended source catalog. The final catalog is expected to meet or exceed the Level-1 Specifications, that include >90% completeness and 99% reliability for most of the sky (free of stellar confusion). The point source sensitivity limits (10-sigma) are 15.8 (0.8 mJy), 15.1 (1.0 mJy), and 14.3 (1.3 mJy) mag at J,H, Ks, respectively. The extended source sensitivity limits (10-sigma) are ~1 mag fainter than the point source limits, or 14.7 (2.1 mJy), 13.9 (3.0 mJy), and 13.1 (4.0 mJy) mag at J, H, and Ks, respectively.

The extended source catalog contains over 340 fields of information per source, most of which are related to photometry. Below we describe the different measures of galaxy brightness, followed by a brief description of each parameter in the extended source catalog.

Photometry

Given the diverse shape, size and surface brightness that galaxies exhibit in the near-infrared, a corresponding diverse array of apertures are used to compute the integrated fluxes. The simplest, and therefore most robust, measures come from fixed circular apertures. A set of fixed circular aperture include the following radii: 5, 7, 10, 15, 20, 25, 30, 40, 50, 60, and 70". We report both the integrated flux within the aperture (with fractional pixel boundaries) and the estimated uncertainty in the integrated flux. The magnitude uncertainty is primarily based up the measured noise in the Atlas image, which includes both the read-noise component and background Poisson component, as well as the confusion noise component (only relevant when the source density is high). The detailed formula is given here. Further information with regard to photometry and expected measurement uncertainty are given below (see URL links below). A contamination or confusion flag is also attached to each flux measurement with the following code:

For most galaxies in the 2MASS catalog, small fixed circular apertures give adequate 'total' flux measurements. In particular, we recommend use of the R=7" aperture for galaxies fainter than Ks ~ 13 mag (see 2MASS Galaxy Catalog: First Results), corresponding to field names:
j_m_7J 7" radius circular aperture magnitude
h_m_7H 7" radius circular aperture magnitude
k_m_7Ks 7" radius circular aperture magnitude
j_msig_7J 1-sigma uncertainty in 7" circular ap. mag
h_msig_7H 1-sigma uncertainty in 7" circular ap. mag
k_msig_7Ks 1-sigma uncertainty in 7" circular ap. mag
j_flg_7J confusion flag for 7" circular ap. mag
h_flg_7H confusion flag for 7" circular ap. mag
k_flg_7Ks confusion flag for 7" circular ap. mag
Adaptive aperture photometry includes isophotal and Kron metrics. The isophotal measurements are set at the 20 mag per arcsec2 isophote at Ks and the 21 mag per arcsec2 at J, using both circular and elliptically shape-fit apertures. For purposes of computing colors, two classes of photometry are carried out: individual and fiducial. The latter refers to adaptive apertures per band, while the former refers to using fixed apertures (both size and elliptical shape) based on either the J or Ks isophotes, respectively referred to as the "J fiducial" and "Ks fiducial" photometry. For the brighter galaxies in the catalog, Ks > 13 mag, we recommend the use of the "Ks" fiducial isophotal elliptical aperture photometry:
r_k20fe20 mag/sq." isophotal K fiducial elliptical aperture semi-major axis (arcsec)
j_m_k20feJ 20 mag/sq." isophotal fiducial ell. ap. magnitude
h_m_k20feH 20 mag/sq." isophotal fiducial ell. ap. magnitude
k_m_k20feKs 20 mag/sq." isophotal fiducial ell. ap. magnitude
j_msig_k20feJ 1-sigma uncertainty in 20 mag/sq." iso.fid.ell.mag
h_msig_k20feH 1-sigma uncertainty in 20 mag/sq." iso.fid.ell.mag
k_msig_k20feKs 1-sigma uncertainty in 20 mag/sq." iso.fid.ell.mag
j_flg_k20feJ confusion flag for 20 mag/sq." iso. fid. ell. mag
h_flg_k20feH confusion flag for 20 mag/sq." iso. fid. ell. mag
k_flg_k20feKs confusion flag for 20 mag/sq." iso. fid. ell. mag
Kron aperture photometry employs a method in which the aperture is controlled/adapted to the first image moment radius. The Kron radius turns out to roughly correspond to the isophotal radii (see above) under typical observing conditions. More information on the Kron aperture can be found here.

The central surface brightness (mag per arcsec2) is computed for the peak pixel and for the central R <= 5" region:
j_peakJ peak pixel brightness
h_peakH peak pixel brightness
k_peakKs peak pixel brightness
j_5surfJ central surface brightness (r<=5)
h_5surfH central surface brightness (r<=5)
k_5surfKs central surface brightness (r<=5)

Additional information with regard to 2MASS galaxy photometry can be found here:

and more specific studies here:

Extended Source Catalog Field Parameters

The user has the option to download pre-selected fields (mini-set, short-set, or standard-set). For user and database convenience, we have defined a set of "default" magnitudes, corresponding to the Ks fiducial isophotal circular metric (see above). The default mag field names are:
j_mJ selected "default" magnitude
h_mH selected "default" magnitude
k_mKs selected "default" magnitude
Note, however, we recommend using the fixed R=7" circular aperture photometry and the "Ks" fiducial isophotal elliptical aperture photometry (see above).

g. Position Reconstruction

Position Reconstruction Technique

Positions of the 2MASS frames are reconstructed by tying the frames together using frame-level point source extractions of sources common to multiple frames and tying those frames to the sky using sources which are also ACT Reference Catalog stars with accurately known positions. Doing these two things simultaneously greatly reduces the random walk which would occur if the frames were tied together only using offsets determined from the apparent relative positions of stars in the overlap regions. For each of the three bands, both R1 and R2-R1 frame extractions are available, so the number of independent sources that can be used to determine the frame overlaps is considerable. Because the sky coverage can go up to 7 frames deep in 2MASS survey scans (nominally 6 frames deep but 7 deep in small areas in order to be assured of 6), a single source can be detected up to 42 times in one scan.

For each scan, a set of simultaneous linear equations is set up to compute the frame positions which minimize the sum of the differences squared between the same sources detected in various frames, as well as between ACT star positions and matching extractions. In order to keep the number of variables to solve small with respect to the number of available measurements, certain simplifying assumptions are made. Rotation angles of the frames with respect to the scan direction (cf. III.2.b) are solved separately per band but assumed constant within a band over the length of the scan. The same is true of both in-scan and x-scan scale factors. The relative band-to-band positions (in-scan and x-scan) are also assumed constant over the length of the scan. The relative R1 to R2-R1 positions (in-scan and cross-scan) for each band are assumed to vary linearly with frame number. These assumptions result in 17 scan-related variables to solve for, in addition to the two position coordinates per frame. For a typical survey scan of 273 frames there are then 563 simultaneous equations to solve.

Well after the aforementioned least-square equations were derived, coded and tested, it was discovered that the relative band-to-band positions can sometimes change by small amounts during the course of a single scan. Modeling the band differences as linear functions of frame number, rather than constant, appeared a better way to go. Therefore, a separate linear fit is made for each band to minimize differences with respect to the merged source positions obtained from the original solution.

After the Atlas Images are generated using the frame positions as determined above, point sources are detected from the Atlas Images and extracted using all available multi-frame, multi-band information. These bandmerged sources which will go into the catalog reach fainter magnitudes that those previously built up from the single frame extractions for reconstruction of frame positions. Using points in common between the two sets of merged sources, another linear fit is done to remove any biases which might result from the two different extraction methods.

Position Reconstruction Results

As a whole, the position results for 971116n are quite good, exceeding the 0.5" 1-sigma requirement by a considerable margin. Figure 1 presents a histogram of RA differences (true angle) of 2MASS positions with respect to the corresponding ACT positions for all the survey scans. Figure 2 shows a histogram of the Dec differences with respect to the ACT. Note that the sigmas are approximately 0.08" in both directions with mean differences that are essentially zero. This is good, but does not in itself define the reconstruction accuracy. One would expect the errors to grow between ACT stars, due to random walk.

Position differences within scan overlaps reveal how consistent the reconstructions are from scan to scan. Figure 3 shows a histogram of scan-to-scan overlap differences in RA for all the survey scans. Only those sources with high extraction accuracies were used since they give the best indication of the pointing accuracy. Figure 4 shows a histogram of the Dec differences. Note that the sigma for RA differences is 0.125", which, when corrected by the square-root of 2 to account for the fact that the differences are between two reconstructed positions, reduces to 0.09". The sigma for Dec differences is somewhat larger at 0.17", which reduces to 0.12".

It is important to note that there are a few scans with low ACT counts, and/or poorly distributed ACT's, which have position reconstructions far worse than one might think from the statistics just presented. This can be seen in the abnormally long tails in the distribution of overlap differences back in Figure 4. By analyzing chi-squares for the overlap differences, uncertainties have been adjusted in the Sampler Point Source Catalog to reflect these problem areas. This is described in detail here. It should be possible in a future release to use the overlap differences to bring ACT information across scan boundaries and thus greatly reduce random walk errors of this type.

h. Artifact Identification

One of the primary sources of unreliability of 2MASS detections is confusion with artifacts produced by bright stars. These artifacts include familiar optical effects such as diffraction spikes, ghost images, and filter and dichroic glints, as well as features unique to the NICMOS3 detectors used by 2MASS such as latent images and "stripes" (see below).

The following J-Band Atlas Image from the Sampler Night, ji0640220.fits, contains the bright star 2MASSs J0245092+285124 (= HD17054; J=5.8, H~5.1, Ks=4.9 mag). The following image shows the same area with source detections that are associated with artifacts from this star and others marked with squares. The color coding of the squares is as follows:

The Sampler Point Source Catalog sources in the Image are marked with circles. Green circles are "clean" detections, not influenced by any artifacts. Yellow circles are sources believed to be real, but which may have position and brightness measurements affected because of proximity to artifacts. The yellow circles also have artifact boxes within them to indicate the nature of the offending artifact.

During pipeline processing for each 2MASS scan, artifacts are identified in the extracted source lists by searching for detections that bear the correct positional and brightness relationship from bright stars. Detections that are deemed to be highly probably artifacts are not included in the final release Catalogs for 2MASS. Sources which are believed to be real objects on the sky, but may have positional or brightness measurements affected by nearby artifacts are flagged in the appropriate bands with the "CC_FLG" (confusion and contamination flag) in the Sampler Point Source Catalog. Users are urged to pay attention to the values in this flag.

Diffraction Spikes

Diffraction spikes are linear features that extended in the north-south and east-west directions from bright stars. They have approximately constant widths, and lengths dependent on the parent source's magnitude, although at large distances from very bright stars the east-west diffraction spikes from the northern 2MASS camera fan slightly. All sources found within the predicted boundaries of a spike are at least contaminated by the spike. Those fainter than a fixed magnitude threshold based on the parent star brightness are considered spurious detections and are culled from the release Catalog source lists. Source brighter than the threshold are included in the release Catalogs, but are marked as contaminated by the spike. Such contaminated point source have a value of "D" in the appropriate band in the "CC_FLG" in the Sampler Point Source Catalog Record.

Persistence Artifacts

When a very bright source illuminates pixels on NICMOS3 arrays, a latent signal that decays with time will persist in subsequent reads of those pixels. Because of the regular stepping in declination of 2MASS scanning, bright stars will leave a "trail" of false stars of diminishing brightness, spaced at regular intervals in the direction opposite to the scanning. The brightness and duration of the persistence "trail" is a repeatable function of the parent source brightness. Note the prominent persistence trail extending north of HD17054 in the image above, as well as the fainter persistence artifacts just north of even much fainter stars. Because these artifacts appear stellar, they are particularly insidious especially when inspecting 2MASS images.

Because the scanning step size is known very accurately, and because the decay in brightness of the latent images is well understood, spurious detections of persistence artifacts can be found in the source lists during pipeline processing for each scan using simple geometric and brightness relationships. For each detection that is in the proximity of an expected persistence artifact, the probability that it is an artifact based on a positional and brightness chi-square function is evaluated. The probability is normalized such that values >0.5 are likely persistence artifacts, and are culled from the final Catalog source lists. Objects with persistence probabilities between 0.3-0.5 are included in the Catalog lists, but are flagged as having measurements that are likely influenced by nearby persistence artifacts. The "CC_FLAG" value corresponding to persistence source contamination is "P."

Filter and Dichroic Glints

Glints are point-like images that result from internal reflections of bright stars within the filter and dichroics of the 2MASS camera. They are found at well-defined positional offsets relative to the bright source, and have magnitudes that are approximately constant offsets from the bright source's magnitude. For both the northern and southern 2MASS camera, the glints lie within 20" of the parent object. Like persistence artifacts, the glints are stellar in appearance, so they can be easily confused with real objects on the sky in the images. The filter and dichroic glints have the added feature that they do not appear in all bands, so they can have extreme apparent colors. For example, because the Ks light passes through two dichroics, there is a Ks-only dichroic that produces red "companions" to all bright stars in 3-color composite images produced from the 2MASS Atlas Images. An example of these can be seen just to the northeast of the brighter stars in the 2MASS Image Gallery image of M67.

Glint artifacts are found in the detection lists by searching for objects within a small radius of the expected position relative to a bright star that have magnitudes within the uncertainty bounds of the expected magnitude. Such objects are culled from the detection lists and nor included in the released 2MASS Catalogs.

Stripes

Horizontal "stripe" artifacts extend in the east-west direction at the declination of very bright stars, as well as at 256" north and south of the stars position. They extend the width of a scan, and they are probably some form of electronic residual of the bright star. These stripes are much fainter than diffraction spikes.

Any detections that fall within the area covered by a stripe may have photometry affected by the artifact. Such objects are flagged with an "S" in the "cc_flg".

Bright Star Confusion

Sources that are saturated in the R2-R1 exposures usually cause a flood of false R2-R1 detections in and around their cores. The radius in which these false detections is termed the "confusion" radius, and is dependent on the brightness of the parent object. for very bright objects, such as beta Pegasi (Ks~-1.9) in the Sampler Release, the confusion radius can be many arcminutes. R2-R1 sources found within the confusion radius around a very bright star are identified as a spurious detections and not selected for inclusion in the release Catalogs. R1 detections found within the confusion radius of a bright star are, which are not the primary detection of the star, can be passed to the release catalogs but are flagged as confused ("cc_flg" = "C") in the Point Source record since their photometry is contaminated by the nearby star.

i. Photometric Calibration

i. Photometric Zeropoint Evaluation and Extinction Coefficients:

The basic transformation between instrumental and calibrated 2MASS magnitudes applied to all point and extended sources is:

Mcal = Minst + c1 - c2(X-1.0)

where

Each of the coefficients is a function of wavelength. Note that no color coefficients are included in the 2MASS photometric transformations, so all photometry is reported in the "2MASS system."

A constant photometric zeropoint in each band, c1(J,H,Ks), was evaluated for the 2MASS Sampler night by constructing the average difference between the catalog and extinction-correction instrumental magnitudes for all primary and secondary standards measured during the night:

c1 = < Mcat - Minst´ >

where

Minst´ = Minst - c2(X-1.0)

As mentioned earlier, the values of the atmospheric extinction coefficients used for the photometric solution are based on longer term average values and are not derived on a nightly basis. The extinction coefficients used for the 2MASS Sampler night photometric calibration are:

c2(J) = 0.109 mag/airmass
c2(H) = 0.031 mag/airmass
c2(Ks) = 0.061 mag/airmass

The photometric zeropoints and their RMS uncertainties derived for the Sampler night are:

c1(J) = 0.1192 ± 0.0193 mags
c1(H) = 0.0282 ± 0.0221 mags
c1(Ks) = 0.0222 ± 0.0136 mags

The photometric uncertainties quoted in the Sampler Point and Extended Source Catalogs do not have the contribution of the Photometric Calibration RMS uncertainties incorporated.

j. Catalog Generation

Point and extended sources are detected well below the nominal survey limits during 2MASS pipeline processing to insure the completeness of the catalogs. Below the SNR=10:1 brightness levels, the reliability of the detections declines rapidly and the majority of very low SNR sources are merely detections of modulations in the noise background. The released 2MASS Catalogs, including the Sampler Point and Extended Source Catalogs, are drawn from "Working Databases" containing all detections. The Catalogs are generated by extracting objects from the Working Databases that satisfy a number of selection criteria that have been developed from empirical analyses of the data. The selection criteria for the Sampler Catalogs are conservative, but should provide source lists that are representative of what users may expect from the upcoming large 2MASS data releases.

Selection Criteria for Objects in the Sampler Point Source Catalog

  1. a source is not identified with a known artifact
  2. a source lies >5" from the edge of a survey scan
  3. a source must be brighter than one of the following requirements:
    Band
    Single Band Detection
    ~SNR
    Multi-Band Detection
    ~SNR
    J
    16.0
    (12:1)
    16.5
    (7:1)
    H
    15.5
    (8:1)
    16.0
    (5:1)
    Ks
    15.0
    (10:1)
    15.5
    (7:1)

  4. very bright star artifacts have been cleaned by visual inspection
  5. redundant sources in scan-to-scan overlap regions have not been rectified (This is unique to the 2MASS Sampler so users may use the independent measurements of objects to gauge the quality of the data. Starting with the Spring 1999 data release, only one apparition of an object will be reported in the Catalogs.)
  6. detections of known asteroids, summarized in a separate table included with the Sampler, have not been removed from the Catalog.

Selection Criteria for Objects in the Sampler Extended Source Catalog

  1. the brightness must exceed one of the following brightness limits (measured in 7" fiducial apertures):
    Band
    Mag. Limit
    J
     15.0
    H
     14.3
    Ks
     13.5

  2. the classification flags "extd" OR "galaxy" <=1.4
  3. in-scan duplicate objects are eliminated with only geometric consideration, such that the source farthest from an edge is included
  4. artifacts have been cleaned by visual inspection.

4. Caveats and Limitations of Sampler Products

a. Redundant sources in scan overlap regions

For the 2MASS Sampler only, all apparitions of objects detected in the scan-to-scan overlap regions have been included in the Release Catalogs. This has been done so that users can use the redundant observations to assess photometric and positional quality, keeping in mind the known caveats on photometric and astrometric biases. All future 2MASS Catalog releases will rectify multiple detections in the scan overlap regions, and will included only one apparition of multiply-detected objects.

Up to 10% of the sources in the 2MASS Sampler Point and Extended Source Catalogs may be redundant, because they fall in the overlap regions.

b. Point Source Catalog Quality Flags

Important Notes to Users of the Point Source Catalog:

The origin and quality of the photometry listed in the "default" magnitude fields in the 2MASS Sampler Point Source Catalog is summarized in the "rd_flg", "cc_flg" and "bl_flg". It is essential that users refer to these flags when interpreting photometry for any source in the Catalog. Each one of these flags has three characters, each corresponding to one band: the first character is the J-band value, second is the H-band value, and third is the Ks value.

  1. RD_FLG (Read Flag)
    Indicates whether the source was detected in each of the three bands, and describes the source of the magnitude and uncertainties.
  2. Value
    Source of Photometry
    0
    Not Detected In That Band - Quoted Magnitude is a 95% Confidence Upper Limit
    1
    R1 Aperture Photometry
    2
    R2-R1 Profile-Fit Photometry
    3
    Saturated in R1 - Photometry estimated from First Persistence Artifact - Extremely Uncertain!
    4
    R2-R1 Aperture Photometry - Extremely Uncertain!
    8
    Very bright star - Photometry and Position provided from External Catalogs for Informational Purposes Only

  3. BL_FLG (Blend Flag)
    Indicates the number of components fit simultaneously in profile fit photometry. A measure of source density and possible confusion
  4. Value
    Interpretation
    0
    Source not detected in that band
    1
    Single profile fit to isolated source
    >1
    Multiple sources detected in small region and fit simultaneously. Value indicates the number of components fit

  5. CC_FLG (Contamination and Confusion Flag)
    Describes if source measurement may be affected by bright star artifacts such as diffraction spikes, persistence images, stripes or ghost images, or if measurements source is confused due to proximity to bright stars or other nearby objects.
  6. Value
    Nature of Artifact or Confusion
    0
    Source is unaffected by artifacts, or source not detected in that band
    P
    Persistence Image from Bright Star
    D
    Nearby Diffraction Spike
    S
    Horizontal "Stripe" due to Bright Star
    R
    Internal Reflection due to Bright Star
    C
    Confusion with nearby source
    B
    Confusion in Bandmerging

c. Artifacts From Very Bright Stars

Stars that are bright enough to be heavily saturated in the R1 exposures (J<4, H<3.5 and Ks<3 mag), can have confusion radii, diffraction spikes and ghost reflections that span more than one scan. An extreme example of this is shown in a montage of several J-band images of beta Pegasi from the 2MASS Sampler. The montage covers a region 5 scans in width, clearly showing the large confusion "halo" and extensive diffraction spikes of the Ks~-1.9 star.

Artifact identification within 2MAPPS requires a good estimate of the parent source brightness, and is currently limited to knowledge of stars that fall within the scan being processing. Heavily saturated objects, such as beta Pegasi, do not have good photometry, and do affect scans beyond the one in which is lies. Artifacts produced by beta Pegasi, as well as 4 other bright stars in the Sampler night 2MASSs J0850200+091617 (HD 75432), 2MASSs J0707213+224213 (SAO 79072), 2MASSs J2307067+252806 (HD 218356), 2MASSs J0704065+203413 (HD52973) have been culled from the Catalogs "by-hand", using the geometric relationships from the standard artifact search routines, and infrared brightness estimates from the Catalog of Infrared Observations (Gezari, Schmitz & Meade 1987, NASA Publication 1196).

Users should use caution when examining Point and Extended sources in the vicinity of such bright stars because the reliability of artifact identification is not yet well tested.

d. Position errors in regions of low astrometric reference star density

The user is cautioned against assuming a constant value for position uncertainties in the 2MASS Sampler, even for sources brighter than a given magnitude or SNR. Uncertainties vary due to factors associated with individual point source extractions, such as signal-to-noise ratio and confusion. They also vary due to factors associated with how accurately the frame positions can be determined. The latter is primarily driven by the density and distribution within each scan of astrometric reference stars, taken from the ACT Reference Catalog. It is also influenced by the density of 2MASS extractions available to tie the frames together. Position uncertainties, which reflect a number of contributors, including those mentioned above, are given for each source in the Sampler.

In keeping with the quick-release nature of the Sampler, there has been no attempt to improve the reconstructed positions in low density ACT regions using scan overlaps to bring ACT information across scan boundaries. Position errors can therefore become much larger in these regions. The scan overlaps have been used, however, to obtain conservative estimates of the position uncertainties during these periods which are reflected in the values quoted for each source. The user should anticipate that both the positions and uncertainties (especially in low ACT density regions) quoted in the Sampler will change in the final catalog.

e. Point Source Photometric Uncertainties

The photometric uncertainties listed in the 2MASS Sampler Point Source Catalog entries are the measurement errors for each star only. They do not include the contribution of the uncertainty in the photometric calibration (cf.III.3.h) or any other estimates of systematic errors. A minimum photometric uncertainty of 0.015 mag is quoted in the Sampler Point Source Catalog entries to provide a measure of net error associated with high signal-to-noise sources that is determined from the photometric dispersion observed in multiple measurements of stars in the calibration fields during the night.

Cross-scan Photometric Bias

Profile-fitting photometry in 2MAPPS assume that a single PSF adequately describes point sources across the focal plane of the 2MASS cameras. Any mismatch between the actual source profile and the PSF being fit can result in an increased dispersion and small bias in the resulting photometry, relative to fits made with perfectly-matched PSFs. As with most optical systems, there is a small variation in the 2MASS system PSF across the focal plane. This distortion results in a small photometric bias (1-2%) between the east and west edges of the focal plane. Although it is small, the bias can be measured by comparing the systematic differences between photometry of sources in the scan overlap regions. For the 2MASS Sampler night, the cross-scan biases range from 1-2% in the J and H band, and ~1% in the Ks band.

f. Extended source photometric uncertainties

Photometry for extended sources is less accurate than for point sources with the same magnitude due to the use of more pixels to obtain the flux measurement and due to the error in determining the Atlas Image background level for those pixels. Most of the time, for most extended sources, the photometric uncertainties have been demonstrated to be close to theoretical expectations calculated solely from the absolute background measured in the frames, the operations used to construct the Atlas Images, and the number of pixels in the aperture used to determine the flux measurement (see Analysis of Photometric Noises for 2MASS Galaxies).

Thus, the flux uncertainties quoted for all sources in the sampler release solely derive from the theoretical flux uncertainties based on those three quantities.

However, there are three known sources of additional error beyond the theoretical expectations for 2MASS extended sources:

  1. Error in determining the aperture size
  2. Small-scale airglow variation
  3. Electronic noise.

i. Error in Determining the Aperture Size

The aperture size must be determined for each source for isophotal magnitudes. As a result, there is an additional flux error of:

df = df/dr * dr

which depends on the variation of the source flux with radius. 2MASS cannot independently determine df/dr, and hence the user must be aware that the quoted flux uncertainties for isophotal apertures are somewhat larger than the quoted errors. There is no additional flux error from this source for fixed-aperture fluxes.

Error Analysis For Circular Isophotal Magnitudes discusses this effect further. Because of the enforced minimum isophotal radius of 7", many of the fainter 2MASS galaxies have in fact no additional error, due to this cause since the radius is fixed at 7" for their "isophotal" magnitudes. However, nearly all 2MASS galaxies brighter than 14.5, 13.8, 13.0 mag at J, H, and Ks have additional error due to this cause, which can contribute an additional error as large as 0.1 mag.

ii. Small-Scale Airglow Variation

Even on perfectly photometric nights, H band frequently exhibits significant small-scale airglow variation that cannot be removed with the 2MASS background-removal algorithm (see Analysis of Noise In The 2MASS Atlas Images). The 2MASS background-removal algorithm works very well most of the time, and removes nearly all background variation with spatial scales larger than 4-5', including nearly all of the natural airglow variation. The spatial scale of 4-5' was chosen as the best compromise between fitting the background without affecting extended sources of size 1-2'. In the dataset we worked with to tune the algorithm, no cases of background variation at shorter spatial scales were seen.

However, the much larger 2MASS data sets revealed that a significant fraction of the data contain a small amount of power in the airglow variation at spatial scales smaller than 4-5', causing significant additional error in the photometry of extended sources. The additional error is statistically correlated with the background-removed noise as measured in each 2MASS Atlas Image, which is quoted for each extended source. H Photometric Error Due To Airglow gives quantitative measures of this effect for a galaxy with H = 13.8 mag. The additional error ranges from a negligible error for a background-removed noise of 1 DN or smaller, but can be as large as 0.15 mag for 10% of 2MASS scans and 0.27 mag for 1% of scans. The additional error of course also depends on the magnitude of the extended source and the aperture used for the flux measurement.

Visual examination of the Atlas Images usually quickly reveals whether airglow is a problem for that Image. If present, it is relatively easy by hand to determine the level of the background noise at the position of an individual source, and correct the reported 2MASS H flux. We will explore automatic methods of removing the residual airglow, but are not optimistic that we can do so without significantly affecting source fluxes in other ways.

iii. Electronic Noise

The 2MASS camera electronics produces additional noise present in the individual camera frames that maps into noise that varies on a spatial scale of less than the 4-5' that cannot be removed by the extended source background-removal algorithm. The noise varies in frequency and amplitude, and hence the resulting noise in the Atlas Images varies dramatically due to phasing between the frequency of the noise and the fixed 1.5-s separation of the six frames that are combined to produce the Images.

We have only recently begun to study the additional noise caused by the remaining electronic noise in the Atlas Images. We have found evidence of J band electronic noise with dominant periods of around 50" spatial scale in the northern data, and 80-100" in the southern data. For scan 116 of 971116n, the Sampler night, electronic noise is found only on the left-hand side of the Atlas Images, with peak amplitudes of 0.16, 0.12 and 0.15 DN at J, H and Ks (see Pickup Noise In 971116n Scan 116. These values are very much larger than the level of 0.05 DN at which errors in the background do not contribute extra error to extended source photometric uncertainties. Typical additional errors are 0.05 - 0.10 mag.

When further analysis is available, we will revise this documentation.

g. Asteroids

The 2MASS Sampler Point Source Catalog contains detections of 29 known asteroids. Identification of the objects takes place as part of pipeline processing.

Known Asteroid and Comet Identification

The strategy used to identify possible detections of known asteroids and comets by 2MASS is to consider the actual area covered during each survey scan, and the time each point on the sky within the scan was observed. The asteroid and comet ephemerides are then searched to determine which objects may have been within the scan boundaries at the specified epoch. Ephemerides are computed using orbital elements published by the Minor Planet Center for all numbered asteroids, and all multiple-opposition unnumbered asteroids, as well as all periodic comets, and recent nonperiodic comets. The orbits of the planets are included for completeness and are taken from the JPL DE403. The heliocentric position of the Earth is derived from DE403, and topocentric corrections to the two observing sites are included. Although the ephemeris computations are two-body in nature, the database of orbital elements is updated every 100 days to incorporate newly numbered asteroids and improved orbits, and the opportunity is taken to integrate all the orbits to a current epoch of osculation. The ephemeris accuracy is typically 1". In addition to the predicted position of the object, the apparent magnitude is computed, which can be used to validate proper identification, though a large acceptance window is needed because of unknown lightcurve and color effects, and the line of variation is used to represent the major axis of the error ellipsoid. Distances and phase angle are also computed for purposes of reducing apparent magnitudes to absolute magnitudes.

If an asteroid or comet is predicted to have a position within the observed boundaries of a scan during the time of its observation, a search is made of the extracted 2MASS point source lists for objects that positionally correlate with the predicted position. Candidate 2MASS asteroid detections are first screened by searching for infrared sources within a coarse window of 30" in RA and DEC around the predicted position. For each 2MASS point source within that window, a two dimensional chi-square position parameter is computed using the separation between the 2MASS and predicted positions and the combined position error covariance matrix. If the value of the chi-square is less than 16.0, the association is acceptable (a threshold of 16.0 corresponds to a completeness error of 0.000335; in other words, one correct match out of every 3000 will be missed in the attempt to avoid false matches). For example, for a predicted asteroid position uncertainty major axis of 3.0" and a minor axis of 1.0", this threshold just allows a match with a position discrepancy of 8.5" along the major axis and 2.8" along the minor axis.

Because the astrometric precision of 2MASS point source positions is typically <0.2"-0.3" with respect to the ACT (Hipparcos/Tycho) reference system, the dominant uncertainty in matching 2MASS candidate sources to asteroids and comets is the uncertainty in orbital predictions. Typical uncertainties are in the range 1"-5", and as expected, The major axis of the asteroid position uncertainty ellipse is generally parallel to the orbital plane. The astrometric precision of 2MASS also means that every sighting of an asteroid or comet can be used to update orbital data for that object.

This table contains a compilation of all 2MASS Sampler Point Source Catalog entries that are probable detections of known asteroids. The positions of 75 asteroids and one comet (6P/d'Arrest) were scanned on the night of 971116 UT by the northern 2MASS facility, and there were 29 nominal detections (6P/d'Arrest was not detected). Note that several asteroids, including 4650 Mori, 3300 McGlasson, 2983 Poltava, 1993 XO, 1995 GJ7, 1997 YR3 and 1987 YB, were detected twice because they fall within the overlap region between adjacent scans.

There is currently no attempt made during 2MASS data processing to identify previously unknown minor planets or comets. Such a search might be possible using the repeated observations of the small areas in the overlapping regions in adjacent tiles.


This document prepared by R. Cutri, S. Van Dyk, and the 2MASS team.

Last modified 1998 Dec 23. For assistance, contact 2mass@ipac.caltech.edu