Certain additional operations were performed on the instrumentally corrected
frames prior to interpolation:
The frame background was offset to match previously combined frames.
Pixels affected by transient effects from meteor trails, satellite tracks, and
cosmic rays were identified using unconfirmed single frame detections (solos)
and masked off prior to interpolation and image estimation. For each unconfirmed
single frame detection brighter than magnitude 15.0, 14.5, or 14.0 in J, H, or Ks
respectively, an area 5 arcseconds in radius was masked off in the offending
frame. In addition, linear patterns were identified in the solo detections
and blanked from one edge of the frame to the other. Because meteor trails
usually resulted in an intermittent line of detections, this was an effective
way to remove them. Candidate streaks were identified when a line had:
15 or more solos within 3 arcsec of the line
over a minimum length of 20 arcsec. The candidate with the highest count was
identified as a streak, and the process continued with the remaining solos
until no more streaks could be identified meeting the criteria in that frame.
For each identified streak, a line was blanked completely across the frame
with a width computed as follows:
width = 6*(count/8)
(in pixels)
which results in a minimum blanking width of 6 camera pixels (12 arcsec).
Because slow moving meteors and satellites sometimes appear in 3 or more frames,
streaks identified in more than 2 frames were only blanked across their identified
length. This may have resulted in incomplete blanking in some cases, but avoided
excessive reduction in coverage near slow moving transient objects.
More detail on meteor blanking may be found
here.
Many hot pixels identified as anomalous and were masked off during the frame
flattening procedures. Remaining intermittent hot pixels and cosmic rays
producing solos were masked in the above procedure. A few hot pixels survived
these filters and produced false sources (see I.6b).
A bias reset decay artifact was identified in the Northern camera J and H band
electronics that introduced a background bias which decayed across the lines in
each detector quadrant and varied from frame to frame.
This bias was removed using the lower quartiles for each line in each frame,
and comparing them spatially. A robust offset and slope across the quadrants
were computed for each frame to minimize the residuals between the frames in their
spatially registered quartiles. This computed bias was removed from the frames and
then the frame background was adjusted to match that of those frames already combined
into the image by computing the differences at each point in the sky in the overlap
region between the incoming frame and the previously-combined frames, and removing
the median of differences from the incoming frame.
This process did not disturb true sky structure that was constant between
frames, but successfully removed most of the bias reset electrical artifact.
Some residual of this problem may sometimes be decerned in the images due to the
simplicity of the model.
More detail on the bias reset removal may be found
here.
ii. Image Estimation Using Kernel Smoothing
The ideal image coaddition represents the best possible estimate of flux
on the sky. Based on well-understood principles from density estimation
(e.g., Density Estimation, B.W. Silverman 1986), we smooth our square
pixels to remove bias, but not so much that we introduce a large variance
from the original images. The optimal smoothing balances these two sources of
error.
To derive a smoothing formula, we make the minimum knowledge assumption
that a photon hits any point on the pixel with equal probability.
We convolve our pixels with a Gaussian smoothing formula and adjust the
smoothing length h to give optimal results.
Let
be the smoothing
kernel. This smoothing kernel is then integrated over the camera pixel to
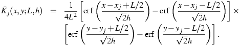
yield an estimate of the flux at points (x,y) for a particular pixel:
 |
 |
(Eq. IV.3.a.1) |
where (xj,yj) is the center of the
jth pixel with linear scale L=2´´.
For convenience, we choose a Gaussian for the smoothing kernel K,
which immediately yields:
 |
 |
(Eq. IV.3.a.2) |
The coadded flux estimate for npix pixels with value
m is:
 |
 |
(Eq. IV.3.a.3) |
Given an Atlas Image pixel of side length l and center at (x,y),
the contribution from the frame pixel j follows by integrating Eq.
III.3.b.2:
 |
 |
(Eq. IV.3.a.4) |
where
 |
 |
(Eq. IV.3.a.5) |
and
 |
 |
(Eq. IV.3.a.6) |
The mean integrated squared error,
 |
 |
(Eq. IV.3.a.7) |
where
is the estimate and
f is the true flux density, is a standard measure for selecting the
optimal smoothing length. Of course, we do not know the true f, but by
taking the expectation of MISE, we can evaluate the first two terms
from the data.
Based on point sources, the optimal value for h=0.1. An empirical
selection based on the pipeline performance on extended sources suggests
h=0.35. Because the run of MISE for point sources slowly
increases for values larger than the optimal, h=0.35 is still nearly
optimal for point sources, and this value is adopted (see
Figure 2).
iii. Compressed Quicklook Images
A ~20:1 lossy-compressed version
the Atlas Images has also been generated using the
hcompress algorithm to facilitate
fast retrieval, finding charts and visual inspection
of the near-infrared sky. These are
known as the 2MASS "Quicklook" Images. The low order bits
are lost in this compression scheme, so these images should not
be used to make quantitative brightness measurements. However,
all position information is retained in the "Quicklook" Images.
 |
| Figure 1 |
 |
Figure 2: Gaussian kernel with h=0.35 convolved over pixel
with active linear size L=1.0. The mesh diagram shows the
contribution of the flux in the pixel centered
about the origin at arbitrary point (x,y).
|
[Last updated: 2006 October 10, by R. Cutri, E. Kopan and M. Weinberg.]
Previous page. Next page.
Return to Explanatory Supplement TOC Page.