LWS Glossary
Dark Current (DC) measurement
- A DC measurement is preformed at the beginning and at the end of
each AOT (there can be more for Fabry-Perot AOTs). The interchange wheel
(refer to the LWS manual) is set to Fabry-Perot position and the etalon
is misaligned; in this condition, apart from a 'straylight' contribution
which has been yet firmly estimated, no flux should be collected by the
detectors and hence their signal provides a measure of the DC. The duration
of this measure has changed during the mission, along with the internal
Illuminator
Flash Sequence (sometimes denoted as 'Stimulated Flashes').
Grating Position (often referred
to as LVDT) - A number ranging from 0 to 4095. It is the readout of the
encoder (Linear Voltage Displacement Transducer) giving the inclination
angle of the grating; this value is directly related to the input-beam^gratin
angle which on turn translates into wavelength (via a calibration file).
Illuminator Flashes - There are
5 resistors (Illuminators) placed in front of the 10 LWS detectors (indicated
by the numbers from 1 to 5 in the figure below; refer to the LWS user manual):
they are switched on ('flashed') in sequence and signal from the 10 detectors
is collected. There is no optics feeding flux from these devices onto the
detectors so their absolute flux cannot be measured: they are used for
relative
calibration purposes only.
During an AOT a flash sequence is performed both at
the beginning and at the end of the observation. Given that the overall
LWS flux calibration is referred to Uranus as primary calibrator and that
Uranus cannot obviously be observed during each AOT, the illuminator flash
sequences performed in the user's AOT are directly ratioed to an analogous
Reference
flash sequence done when Uranus was observed: a set of 10 Absolute
Responsivity Correction (ARC) factors (one per detector) is hence derived
to be applied to the data in the reduction process. Flash sequence has
been changed during ISO mission as more knowledge was being acquired about
detector behaviour. In the OLD Scheme (Launch - Rev. ???) the 5 illuminators
were switched-on in sequence at two power levels (low and high); after
realizing that the 'high' power flash was perturbing detectors for the
following tens of seconds, a NEW scheme was adopted (Rev. ??? on) in which
the 5 illuminators are switched on in 1 single sequence at a power level
which is intermediate with respect to the 2 power levels used in the OLD
scheme.
ITK (Instrument Time Key) - This is a measure
of time in units that can be converted into seconds dividing it by 214
. ITK is unique throughout the revolution, i.e. it is reset to 0 at the
beginning of each ISO revolution.
OLP (Off Line Processing) - Otherwise referred
to as 'The Pipeline', it is the automatic reduction process (the user may
refer to the ISO
Data User Manual) that produces the calibrated spectrum (LSAN or SWAA
files for LWS and SWS respectively).
Plot Window - In all ISAP and few LIA
applications the plot area allows interactive use with the cursor, featuring
the following options:
-
View actual cursor position on the plot in data units in the 'X,Y' fields
at the top-right;
-
Clicking & Dragging with the left button of the mouse will cause to
zoom in the selected portion of the plot;
-
Unzoom one step by pressing the 'Unzoom' button at the right side of the
plot area;
-
Replot displayed data at maximum scale by clicking on the 'Replot Max'
button;
-
Make a hardcopy of what is presently displayed by clicking on the 'Hardcopy'
button;
-
Display of the actual X,Y axis ranges in the four fields at the right.
Pressing 'Freeze Ranges' will hold that range for subsequent plot operations
(particularly useful when overplotting other data for purpose of comparison
- a plot rescale is normally done)
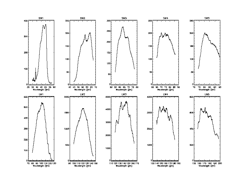
Relative Spectral
Response Function (RSRF) - It is the instrumental transmission profile;
it consists of a set of 10 curves (1 per detector) which provide the conversion
table from Photocurrent (Amps) to Flux (W/cm2/um):
This set of curbes is extracted from the calibration files available
under ISAP Version 1.6a
Time Responsivity Drift -
The responsivity of the 10 LWS detectors is known to increase with time
within each revolution, although it is believed to stay nearly costant
on a revolution by revolution basis. The plot below shows the photocurrent
as a function of time (ITK) for detector SW4 from the
start to the end of a revolution:
The drop in responsivity in the middle of the revolution is due to
a 'Bias Boost' performed during 'handover' (switching control period between
VILSPA and Goldstone ground tracking stations). A correction needs to be
applied to the data (presently only done for L01 AOTs) to remove the responsivity
drift (---> RD); at the beginning of the mission the signal taken in response
to the Illuminator Flashes were used
also to correct for the RD but it came out that it was better to use the
data themselves for the purpose.
The automatic
algorithm for RD correction in the OLP essentially averages
signal of each grating scan to a single value and then performs a linear
fit in time to these points to derive a function to divided out from the
data. A problem which may arise is that some scans could be severely affected
by transients remnants that can heavily perturb the average value so that
an increase in the average scan signal is interpreted as an increase in
responsivity: the interactive tools available
in LIA allow a more flexible extimate and correction of the RD.