Appendix A. Galaxy Photometry Error Tree
The fundamental limits to 2MASS galaxy photometry are set by the accuracy to which the background level can be determined, by the total signal to noise in the aperture used to report the flux of a galaxy, and by the zero-point calibration to adjust raw magnitudes onto a standard scale. Errors in the background removal process are the principal cause of errors in the photometry. In the near-infrared, the background levels generally fluctuate due to airglow emission, sometimes at very high spatial frequencies, particularly at H-band. In addition to airglow, 2MASS images include electronic ("pickup") noise that is correlated and can, at times, be comparable to the airglow component. Examples of both forms of background enhancement are given below. Additional information may be found in Analysis of Photometric Noises for 2MASS Galaxies and Analysis of Noise In The 2MASS Atlas Images.
A.1 Summary of Photometric Error
The 2MASS Galaxy processor tracks background variations on spatial scales greater than about 3-4' in space (see section 3.3), which is about 5-10 seconds of time. If the background varies more slowly, our accuracy in determining the background will be set simply by noise, and is 0.03 ´ spix, where spix is the measured individual pixel noise in the coadded (Atlas) images, and the coefficient is derived below (A.2). Thus in an aperture of n pixels in the coadd, the photometric error due to the error in determining the background is n ´ 0.03 ´ spix.
The measurement error in summing up the flux over n pixels in the coadd is
![]()
in the case where the galaxy flux is negligible compared to the background flux generally the case in the near-infrared). The factor of 1.7 corrects for the smoothing introduced in the coadd by the frame resampling and construction process, and the factor of 4 results from the normalization of the flux of the 1" coadd pixels, being the flux of the 2" camera (raw frame) pixels divided by 4, and the correlation of the flux in the coadd caused by dividing the area of a camera pixel into 4 coadd pixels.
The total photometric noise is the sum of these two terms
![]()
A.2 Error in Determining the Background
GALWORKS determines the background as follows (see also section 3.3):
A single coadd (512 cross-scan x 1024 in-scan) is divided into three uniformly overlapped sections, 512´ 512 pixels, scale 8.5’´ 8.5’. Each sub-section is then blocked into 8 x 8 groups after source masking (stars and catalogued galaxies). The median is determined for each 8 x 8 block. A cubic polynomial is fit to the 64 8´ 8 blocks in the in-scan direction for each of the 64 columns. A cubic polynomial is fit to the 64 values of the 64 in-scan polynomials along each cross-scan row. The background is then taken as the values of the 64 "row" cubic polynomials. The final background solution is derived from weighted combination of the three sub-section solutions.
The noise of the background determination depends on the structure of the background. For example, if there is no variation in background across the entire coadd, then all cubic polynomial coefficients will be zero except for the mean level, which will be determined from the mean of all the 8 x 8 medians. The error in the determination of that mean is:
![]()
where the factor of 1.7 corrects for the smoothing introduced in the coadd by the frame resampling and the factor of 4 for the frame to coadd pixel conversion (see above). This estimated error applies to one sub-section, so a combination of the three sub-sections will slightly decrease the error value.
If the background variation requires a higher-order polynomial, and is well-fit by a cubic (3rd order), which is normally the case except for H-band observations with significant airglow emission, then the coadd is effectively further divided into 3 or 4 sub-regions with the resulting errors then being ~3-4 times higher. The resulting noise in the determination of the background is then ~0.03 ´ spix.
If the background variation requires a higher-power polynomial than a cubic, then the error in the background will no longer be determined by the pixel noise. Instead, the background error will result from the residual error after a cubic polynomial is fit. This will be the case for severe airglow variation, which can vary on high spatial frequency scales (see Figure A.1), and from correlated ‘electronic’ noise.
In order to keep the noise in determining the background level from increasing the total photometric noise by more than 10%, that noise must be less than half the Poisson background noise component. The noise in determining the background level must
then be less than about ~0.05 DN, using worst case limits (but still acceptable for the survey as a whole) for the aperture size and background levels. Thus, the typical noise in determining the background is generally less than this limit, except when the airglow is severe and/or significant correlated noise.
A.3 Adaptive Aperture Errors
Adaptive apertures (i.e., Kron and isophotal) come in two different shapes: circular and elliptical. Circular apertures are fully described by the radius, fit to the desired isophote.
Elliptical apertures are described by three parameters, radius (semi-major axis), axis ratio and position angle, fit to the desired isophote. Therein lies the source of errors. For the circular case, the radius has an error that is driven by background noise and contamination (i.e., stars near or within the isophote). The elliptical case has basically three times the uncertainty of that of the purely circular aperture.
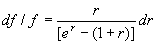
To determine an isophotal circular aperture magnitude, the radius of that aperture must first be determined. Errors in the determination of that radius dominate the photometric error tree. Consider the best case of a galaxy with an exponential profile. The integral flux over a circular aperture is
![]()
where r is the aperture radius divided by the radial scale length of the galaxy profile. The flux error caused by the error in radius determination is
![]()
For a disk scale length of 2", and typical isophotal 20 mag per sq.arcsec aperture radii of 6-8", the flux error ranges between
![]()
The width of the circular isophote, dr, is ~1", so the radius determination gives a flux error of 5-15%. The Poisson photon noise in an aperture of this size gives typical flux errors of ~5-7%, and hence the radius uncertainty dominates the photometric error for this (typical K~13 mag) case.
For elliptical aperture photometry, in addition to the radial uncertainty, two additional parameters (axial ratio and position angle) add to the total error budget. However, there is some positive compensation due to the fact that the orientation of galaxies is elliptically shaped; thus, optimal elliptical apertures minimize the background noise contribution and systematics due to measurement error in the background itself (section A.1 above). Analysis of the 2MASS extended source database reveals that for 2MASS galaxies brighter than ~13th mag, the elliptical aperture photometry gives the most precise measurement of the galaxy flux. Note however that the elliptical aperture is vulnerable to contamination (high source density regions, e.g.) and, for faint galaxies, the PSF shape and image resolution generally favor a circular aperture to that of an ellipse.