Appendix 3. Long Exposure (6x) Scan Databases, Catalogs and Images


2. General Properties of the 6x Observations, Images and Working Source Databases

c. Analysis of 6x Position Reconstruction

2MASS 6x positions and uncertainties are evaluated via comparison to various reference catalogs. Position reconstruction for 6x processing differed from the All-Sky Catalog processing in several ways as described in A3.5.b. The most important difference was that a subset of the 2MASS All-Sky Point Source Catalog (PSC), rather than the Tycho-2 Catalog, was used as the astrometric reference catalog for the 6x processing. This subset is referred to as the 2MASS Reference Catalog (2MREF) and was selected to provide the best all-sky astrometry, while retaining high reference star density. In addition to the 2MREF catalog, comparisons are also made to the Tycho-2 catalog with stars originally in Tycho-1, hereafter referred to as Tycho-2(1), and those new to Tycho-2, referred to as Tycho-2(2). The Tycho catalog comparison is done in two parts because of the significant difference in astrometric quality between the two subsets of the Tycho-2 Catalog. Finally, comparisons are made to the UCAC2 version of the U.S. Naval Observatory CCD Astrographic Catalog. UCAC2 has improvements over the previous UCACr10 version, including, among other things, extension to regions further north and the inclusion of proper motion information. However, proper motions were not used in this analysis. More extensive comparisons are made to the UCAC2, since it believed to be the best external measure for astrometry.

i. Global Statistics

Global comparisons of the 6x positions with the 2MREF catalog show very good agreement. Biases are quite small (-2.48 mas cross-scan and 0.34 mas in-scan) and population uncertainties are tight (67.67 mas cross-scan and 59.75 mas in-scan). The mean radial difference is just 75.73 mas. These statistics are shown in Figures 1 and 2.

Figure 1 - 2MASS 6x vs. 2MREF cross-scan (left) and in-scan (right) position difference histograms Figure 2 - 2MASS 6x vs. 2MREF radial position difference histogram

Global comparisons with the Tycho-2 Catalog (Figures 3 and 5) are slightly worse than the same comparisons made between the All-Sky PSC positions and Tycho-2 (Figures 4 and 6). The mean radial difference has increased from 100 and 161 mas for Tycho-2(1) and Tycho-2(2), respectively, to 124 and 178 mas. This is a 24% increase with respect to Tycho-2(1) and an 11% increase with respect to Tycho-2(2). The key here is that 2MASS sources matched to Tycho-2(2) are, on average, about 1.5 magnitudes fainter than those matched to Tycho-2(1). As will be seen in the section on "Variation with Magnitude" the transition between READ1 and READ_2 has shifted to a Ks-band magnitude of ~10.5, making almost all Tycho-2(1) matches and many more Tycho-2(2) matches READ1 sources in the 6x processing. Since the READ1 extracted positions are less accurate, the Tycho-2 residuals are greater. This magnitude difference in the READ1/READ2 transition is, in fact, the reason Tycho-2 was not used as the reference catalog for 6x processing.

Figure 3 - 2MASS 6x vs. Tycho-2 cross-scan (left) and in-scan (right) position difference histograms Figure 4 - 2MASS All-Sky PSC vs. Tycho-2 cross-scan (left) and in-scan (right) position difference histograms Figure 5 - 2MASS 6x vs. Tycho-2 radial position difference histogram Figure 6 - 2MASS All-Sky PSC vs. Tycho-2 radial position difference histogram

It is interesting to note that the global 2MASS_6x:UCAC2 differences (Figures 7 and 9) are very similar to the 2MASS All-Sky PSC:UCACr10 differences (Figures 8 and 10). In fact, the mean radial differences are within 1 mas (94 mas for the All-Sky PSC and 95 mas for the 6x-PSC). This indicates that overall 6x position quality is about as good as the 2MASS Main Survey.

Figure 7 - 2MASS 6x vs. UCAC2 cross-scan (left) and in-scan (right) position difference histograms Figure 8 - 2MASS All-Sky PSC vs. UCACr10cross-scan (left) and in-scan (right) position difference histograms Figure 9 - 2MASS 6x vs. UCAC2 radial position difference histogram Figure 10 - 2MASS All-Sky PSC vs. UCACr10 radial position difference histogram

The quoted position uncertainties resulting from the 6x processing (Figure 11) and the main survey processing (Figure 12), however, are not consistent with the above conclusion. The mean quoted uncertainties have increased, for cross-scan and in-scan, from 64 and 67 mas, respectively, for the survey to 79 and 89 mas, respectively, for 6x.

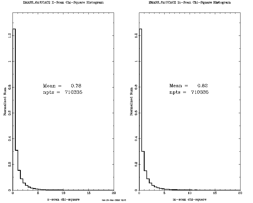
The global mean 2 values show that the 6x values (Figure 13) are too low (0.78 for cross-scan, 0.82 for in-scan), while the All-Sky PSC values (Figure 14) were too high (1.16 cross-scan, 1.19 in-scan). This tells us that the 6x uncertainties are, on average, too conservative, and the All-Sky PSC uncertainties were not conservative enough. It will be seen in A3.2.c.iii below that this is an oversimplification, and that the uncertainty issues are strongly dependent on magnitude.

Figure 11 - Quoted position uncertainties for 2MASS 6x and UCAC2 Figure 12 - Quoted position uncertainties for 2MASS PSC and UCACr10 Figure 13 - 2MASS-6x:UCAC2 position residual 2 histograms Figure 14 - 2MASS All-Sky PSC:UCACr10 position residual 2 histograms

ii. Variation with Cross-Scan Position

Astrometric accuracy variations with cross-scan position are examined here as a function of 2MASS facility and for READ1 and READ2 sources separately. Cross-scan variations are affected primarily by distortion in the 2MASS cameras, which differ between the northern and southern observatories. Distortion for READ1 and READ2 source extractions is corrected at different steps in the pipeline data reduction.

Figures 15 and 16 show 2MASS/UCAC position residuals as a function of cross-scan position for the 6x and All-Sky PSC 2MASS positions, respectively. The agreement between the READ1 and READ2 residuals for the 6x position shown in Figure 15 illustrates that the READ1 distortion noted in the main survey processing has been corrected in the southern 6x position reconstruction. There are too few READ1 stars extracted from the northern 6x observations that overlap the available UCAC2 to confirm the correction for the northern data. However, the same code was used to process 6x data from both observatories.

Figure 15 - 2MASS-6x vs. UCAC2 mean cross-scan (top) and in-scan (bottom) position residuals for the northern (left) and southern (right) 2MASS observatories Figure 16 - 2MASS All-Sky PSC vs. UCACr10 mean cross-scan (top) and in-scan (bottom) position residuals for the northern (left) and southern (right) 2MASS observatories

The marked increase in radial position error at the scan edges seen in the All-Sky PSC (Figure 18) is no longer present in the 6x results (Figure 17). The 6x 2 values stay relatively flat across the scan, as well (Figures 19 and 20).

Figure 17 - 2MASS-6x:UCAC2 mean radial position differences as a function of cross-scan position for northern (left) and southern (right) observatories Figure 18 - 2MASS All-Sky PSC:UCACr10 mean radial position differences as a function of cross-scan position for northern (left) and southern (right) observatories Figure 19 - 2MASS-6x:UCAC2 mean position residual 2 as a function of cross-scan position for northern (left) and southern (right) observatories Figure 20 - 2MASS All-Sky PSC:UCACr10 mean position residual 2 as a function of cross-scan position for northern (left) and southern (right) observatories

Figures 21 and 22 show the 2MASS:UCAC RMS position residuals as a function cross-scan and in-scan positions. The RMS values shown in these figures are derived by subtracting in quadrature the quoted UCAC uncertainties from the 2MASS:UCAC rms values computed for each cross-scan and in-scan bin. If the UCAC uncertainties were perfectly characterized, then this would provide a true measure of 2MASS errors as a function of scan position. The dashed lines Figures 21 and 22 indicate the quoted 2MASS uncertainties on each axis as a comparison to the derived 2MASS:UCAC RMS values.

Figure 21 - Mean 2MASS 6x:UCAC2 position residual RMS, corrected for UCAC2 uncertainties, plotted as a function of cross-scan (top) and in-scan (bottom) position. The left and right pairs of figures correspond to the northern and southern 2MASS observatories, respectively. The dashed lines show the quoted mean position uncertainties for the 2MASS 6x sources with UCAC2 matches. Figure 22 - Mean 2MASS All-Sky PSC:UCACr10 position residual RMS, corrected for UCACr10 uncertainties, plotted as a function of cross-scan (top) and in-scan (bottom) position. The left and right pairs of figures correspond to the northern and southern 2MASS observatories, respectively. The dashed lines show the quoted mean position uncertainties for the 2MASS PSC sources with UCACr10 matches.

iii. Variation with Magnitude

The distribution of 2MASS magnitudes for sources matched to UCAC remains essentially unchanged between the main survey (Figure 24) and 6x data (Figure 23), because the UCAC catalog limit had already been reached with the All-Sky observations. The mean cross-scan and in-scan position differences plotted vs. 2MASS Ks-band magnitude in Figures 25 and 26 show that the 6x systematic errors are comparable to, if not slightly better than those for the All-Sky PSC. In particular, the READ1:READ2 transition is less noticeable.

Figure 23 - 2MASS 6x Ks-band magnitude histogram for sources with UCAC2 matches Figure 24 - 2MASS All-Sky PSC Ks-band magnitude histogram for sources with UCACr10 matches Figure 25 - Mean 2MASS 6x:UCAC2 cross-scan and in-scan position differences plotted as a function of Ks-band magnitude for the northern (left) and southern (right) 2MASS observatories Figure 26 - Mean 2MASS All-Sky PSC:UCACr10 cross-scan and in-scan position differences plotted as a function of Ks-band magnitude for the northern (left) and southern (right) 2MASS observatories

The mean radial difference between 2MASS and UCAC positions are plotted vs. Ks magnitude in Figures 27 and 28. For the southern 2MASS 6x data, the residuals are slightly larger than All-Sky PSC in the READ1 brightness regime, and about the same in the READ2-READ1 regime. The northern facility data (only available for READ2-READ1) shows the 6x residuals to be better than those of the All-Sky PSC. An important point to note in these figures is the shift in the READ1:READ2-READ1 transition point from ~8.5 mag for All-Sky PSC down to ~10.5 mag for 6x. As can be seen from these figures, 6x sources in the transition region are likely to have larger positional errors than the same All-Sky PSC sources.

Figure 27 - Mean 2MASS 6x:UCAC2 radial position differences as a function of Ks magnitude Figure 28 - Mean 2MASS All-Sky PSC:UCACr10 radial position differences as a function of Ks magnitude

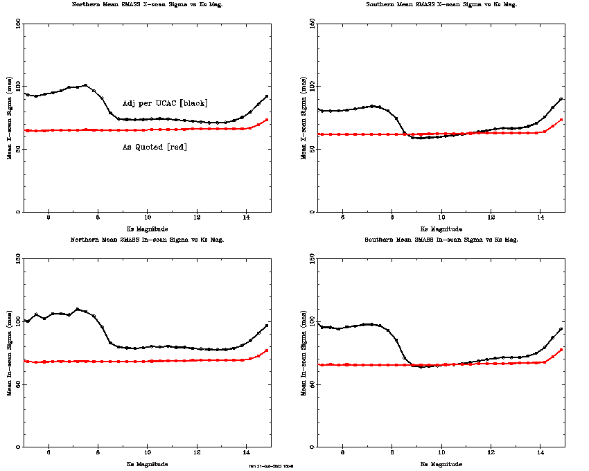
Aside from the previously discussed shift in the READ1:READ2-READ1 transition point, the shape of the mean 2 vs. magnitude relation is quite similar for 6x and All-Sky PSC positions as shown in Figure 29 and (Figure 30. The underestimate of the READ1 errors in both cases likely results from band-to-band correlations unaccounted for in the extraction uncertainties. The increase at the faint end is also driven by errors in the extraction uncertainties assigned. The fact that the 6x 2 values drop so low during most of the READ2 region for 6x, but not for All-Sky PSC, is almost certainly due to an overly conservative estimate of 2MREF correlated errors as a function of scan position. Figures 31 and 32 compare the derived 2MASS:UCAC position residual RMS values (black line) corrected for UCAC uncertainties and the quoted 2MASS position uncertainties (red line) as a function of brightness for the 6x and All-Sky PSC.

Figure 29 - Mean 2MASS 6x:UCAC2 position residual 2 values as a function of Ks magnitude for the northern (left) and southern (right) 2MASS observatory data. Figure 30 - Mean 2MASS All-Sky PSC:UCACr10 position residual 2 values as a function of Ks magnitude for the northern (left) and southern (right) 2MASS observatory data Figure 31 - Mean 2MASS 6x:UCAC2 cross-scan (top) and in-scan (bottom) position residual RMS, corrected for UCAC2 uncertainties, plotted as a function of Ks magnitude for the northern (left) and southern (right) 2MASS observatory data. The dashed lines show the quoted mean position uncertainties for the 2MASS 6x sources with UCAC2 matches. Figure 32 - Mean 2MASS All-Sky PSC:UCACr10 cross-scan (top) and in-scan (bottom) position residual RMS, corrected for UCACr10 uncertainties, plotted as a function of Ks magnitude for the northern (left) and southern (right) 2MASS observatory data. The dashed lines show the quoted mean position uncertainties for the 2MASS PSC sources with UCACr10 matches.

iv. Summary

  1. Overall, the 6x position reconstruction is of approximately equal quality to the All-Sky reconstruction. An exception to this is for sources in the 6x READ1:READ2-READ1 transition region (k_m~10.5 mag) for which the 6x astrometry will be degraded relative to the All-Sky PSC. Sources very near scan edges may have slightly better accuracy in the 6x reconstruction.
  2. The correction to the READ1 distortion problem that affected the main survey data processing is demonstrated in the southern 2MASS observatory 6x data. Although a lack of data prevents a positive demonstration for the northern facility, the the fact that the same code was used would imply that it was corrected there as well.
  3. The attempt to account for systematic errors in the 2MREF catalog was too conservative, resulting in quoted position uncertainties which are, in general, higher for most sources in the READ2-READ1 brightness regime than predicted from comparison with the UCAC2 catalog. The quoted uncertainties for sources in the READ1 regime are lower than expected from the UCAC2 comparison.

[Last Updated: 2007 January 7; by H. McCallon and R. Cutri]


Previous page. Next page.
Return to Explanatory Supplement TOC Page.