VI. Analysis of Release Catalogs


5. Point Source Catalog Position Reconstruction Performance

a. Quality of 2MASS Positions

ii. Comparison of 2MASS Catalog Positions/Uncertainties with UCACr10

Introduction

2MASS catalog positions and uncertainties are evaluated via comparison to the UCACr10 reference catalog. UCACr10 is a new version of the U.S. Naval Observatory CCD Astrographic Catalog, kindly provided in pre-release form by Norbert Zacharias, to aid in the evaluation of the astrometric quality of the 2MASS Catalog. It extends from the south pole up to mid-northern declinations, supplying a high density of sources with high positional accuracy. Since it was not used in the 2MASS reconstruction, it has the further advantage of providing an independent measure of 2MASS errors.

In addition to global statistics, systematic variations with sky position, scan position and magnitude are presented. Where appropriate, observations made from the northern and southern facilities are evaluated separately. In some instances the results are further broken down by read type (Read_1, Read_2-Read_1). The effects of scan direction are also considered.

Only 2MASS sources selected for the Catalog were included. 2MASS:UCACr10 position matching was done using a match radius of 2.5´´ around each 2MASS source. To reduce spurious matches, sources with multiple matches in either direction (UCACr10-to-2MASS or 2MASS-to-UCACr10) were tossed out, as well as matches with an in-scan or cross-scan 2 value greater than 50.

At various points throughout this analysis reference will be made to the 2MASS:Tycho-2 comparison of the previous subsection (VI.6a1). In some cases a reference to the corresponding figure in VI.6a1 will be provided. There is a one-to-one correspondence between the figure numbers in the two subsections. Therefore, the reader can always go to the same figure in the other subsection for a direct comparison, even when no such link is provided. When doing so keep in mind that the scale and range of the plots are frequently different, and that the UCACr10 data do not extend beyond mid-northern declinations.

Global Statistics

Figure 1 shows normalized histograms of 2MASS:UCACr10 differences, with cross-scan in the left panel and in-scan in the right panel. The "dx" cross-scan difference parameter is roughly equivalent (except near the poles) to a true-angle RA difference, but opposite in sign. Thus, when "dx" is positive the 2MASS position is west of the UCACr10 position. When "dy" is positive 2MASS position is north of the UCACr10 position. Note that the cross-scan and in-scan difference are close (80 and 82 mas, respectively), and the cross-scan bias is small (+3 mas) with a somewhat larger (+13 mas) in-scan bias. Figure 2 shows a normalized histogram of 2MASS:UCACr10 radial differences. Note that the global mean of the radial differences, which includes the effects of both the systematic and random errors of both the 2MASS and UCACr10 catalogs, is 95 mas.

In Figure 3 normalized histograms comparing the quoted uncertainties for 2MASS and UCACr10 are presented. Comparison figures are divided into 2 panels, with the cross-scan data presented in the left panel and in-scan data in the right. 2MASS histograms are in solid black and UCACr10 in light red. Note that the quoted 2MASS overlap the high end of the UCACr10 .

Combining the measured differences (dx, dy) with quoted 2MASS (sigx2m, sigy2m) and UCACr10 (sigxuc, sigyuc) one can obtain a measure of how well those reflect the actual errors. The 2 parameters (chi2x, chi2y) are computed as follows:

The mean of 2 (given a large number of measurements) has an expected value of 1.0, if the quoted are exactly right. A value larger than 1.0 indicates that the quoted are too low, and less than 1.0 indicates that they are too high. Of course, there is no way to tell for sure which of the (2MASS or UCACr10) is off. Figure 4 shows histograms of 2 values for cross-scan in the left panel and in-scan in the right. The mean 2 values from the UCACr10 differences are 1.16 and 1.19, for cross-scan and in-scan, respectively. Assuming the UCACr10 are properly stated, this indicates that overall the quoted 2MASS tend to be a little too low.

Figure 1Figure 2Figure 3Figure 4

Variation with Sky Position

Figure 5 shows mean cross-scan and in-scan position differences as a function of RA (left panel) and Dec (right panel). The magnitude of the systematic differences with sky position are somewhat larger than anticipated, particularly in Dec. Previous comparison to Tycho-2 (see VI.6a1, Figure 5) did not show this effect. This could be a magnitude effect, since 2MASS sources matched to UCACr10 average over 2 magnitudes fainter. The other possibility is that it is due to systematic differences between the Tycho-2 and UCACr10 catalogs.

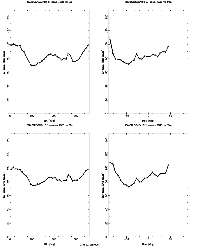
Mean radial differences are shown as a function of RA (left panel) and Dec (right panel) in Figure 6. The variation with declination is reasonably consistent with the Tycho-2(1) results (see IV.6a1, Figure 6), although UCACr10 differences show more of an increase in the north. The pronounced variation of mean 2MASS:UCACr10 differences with RA are not seen in the 2MASS:Tycho-2 differences. The RMS of the 2MASS:UCACr10 differences are shown in Figure 7 as a function of RA (left panels) and Dec (right panels), with cross-scan in the upper panels and in-scan in the lower panels. Note that the increased variation with RA shows up equally in both cross-scan and in-scan.

Figure 8 shows mean 2 values as a function of RA (left panel) and Dec (right panel). Cross-scan 2 are represented in black and in-scan in red. Accepting the UCACr10 uncertainties as quoted, this says that the 2MASS uncertainties are underestimated, particularly near the pole and in the RA range from -60° to +90°. Tycho-2(1) comparisons (see IV.6a1, Figure 8 agree regarding the pole, but not the RA range.

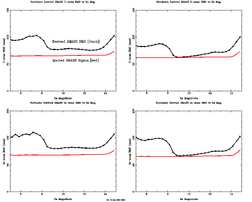
Figure 9 shows 2MASS RMS values derived by substracting in quadrature the quoted UCACr10 from the 2MASS:UCACr10 difference RMS values displayed earlier. If the quoted UCACr10 are perfectly characterized, these will be the true 2MASS RMS values. If the quoted UCACr10 are too low, the derived 2MASS RMS values will be too high, and vice versa. The derived 2MASS RMS values are shown in black, as a function of RA, in the left panels and Dec in the right panels. Cross-scan is plotted in the upper panels, and in-scan in the lower panels. For comparison quoted 2MASS are shown in red.

Figure 5Figure 6Figure 7

Figure 8Figure 9

Variation with In-Scan Position

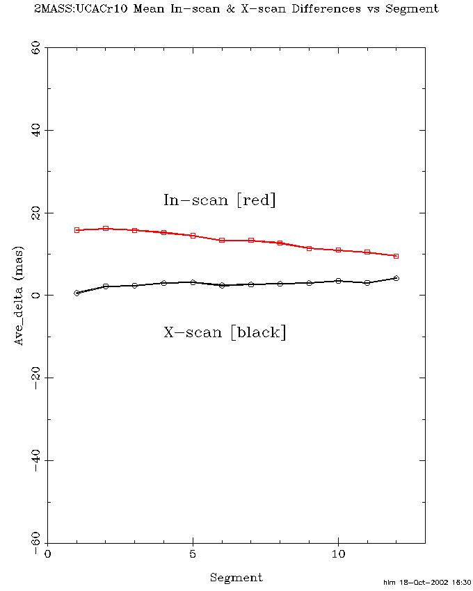
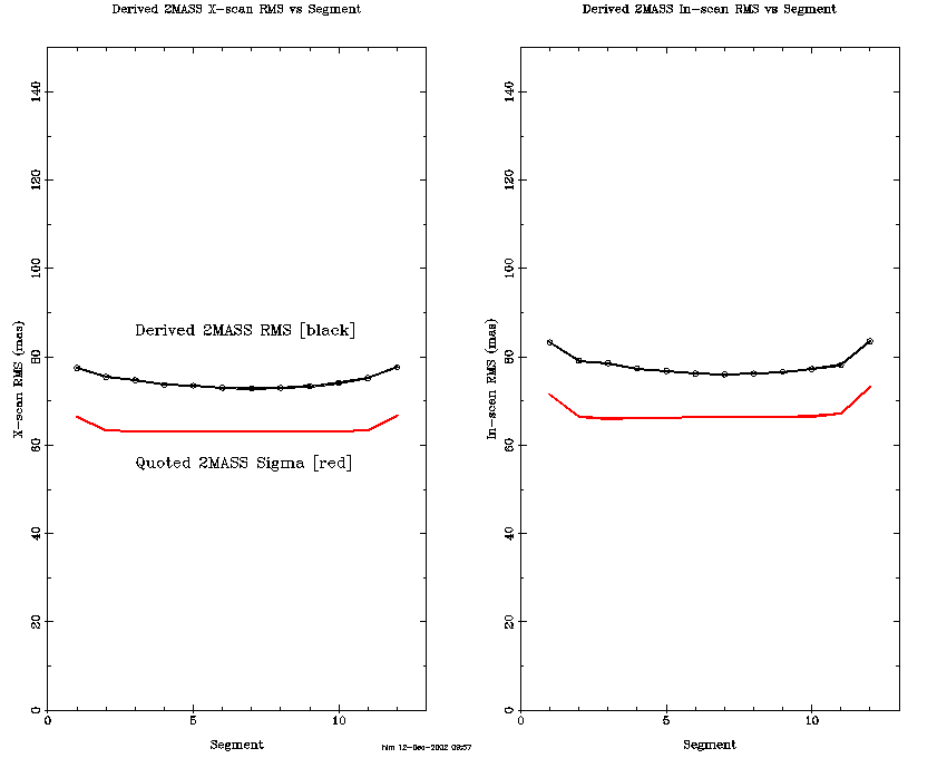
To help evaluate changes with in-scan position each of the 6°-long survey scans is divided into 12 segments, numbered from south to north. Figure 10 shows mean cross-scan (black) and in-scan (red) differences as function of segment number. Note that there is very little change in mean cross-scan difference with segment number. There is, however, a small downward slope to the mean in-scan difference with increasing segment number. This is puzzling, since it does not show up in the Tycho-2 comparisons (see IV.5a1, Figure 10) and is the wrong sign to be a result of the overall change in mean 2MASS-UCACr10 difference with Dec. Mean radial differences are plotted as a function of segment number in Figure 11. The very slight upturn in the end segments indicates a small increase in 2MASS reconstruction errors near scan ends. This is to be expected, due to the increased errors resulting from extrapolation, as opposed to interpolation.

Figure 12, which shows mean 2 values as a function of segment number, indicates that the quality of the quoted 2MASS uncertainties changes little with in-scan position. This is borne out by the derived 2MASS RMS plots of Figure 13. Note that the derived 2MASS RMS curves are simply displaced a bit upward from the quoted curves, with no change in shape.

Figure 10Figure 11Figure 12Figure 13

Variation with Cross-Scan Position

Since differences with cross-scan position include telescope/camera specific effects (such as residual distortion), data taken from the northern and southern facilities need to be considered separately. Read_1 and Read_2-Read_1 sources are also considered separately, given their dual paths through a portion of the pipeline with separate distortion removal. Figure 14 shows mean cross-scan (upper panels) and in-scan (lower panels) position differences as a function of cross-scan position (X_us). Mean Read_1 differences are plotted in black and Read_2-Read_1 differences in red. The "X_us" parameter increases to the west. Northern facility results are found in the left panels and southern in the right. Since the read flags (rd_flg) were not available in the files from which these plots were generated and adding them would have taken a great deal of time, the read type was estimated from the Ks magnitude. All sources with a Ks < 8 mag were tagged "Read_1," and all sources with Ks > 9 mag tagged "Read_2-Read_1." Sources with Ks magnitudes between 8 and 9 are typically a mix and were not used.

Note that the distortion is well corrected for Read_2-Read_1 sources, but not for Read_1 sources. It was only recently discovered that, due to a coding error, the Read_1 positions were pulled out of PFPrep before the distortion correction was applied. This error remained undiscovered during the QA monitoring, because Read_1 and Read_2-Read_1 sources were lumped together, and Read_1 sources make up a small percentage of the total. As it turns out, Read_1 sources have larger errors anyway, so the distortion is a relatively small contributor.

Figure 15 shows mean radial difference as a function of cross-scan position for the northern facility observations in the left panel and southern in the right panel. Read_1 values are plotted in black and Read_2-Read_1 values in red. The Read_2-Read_1 mean radial differences are essentially constant with cross-scan position, except near the edges. Overall, the southern hemisphere results are better, but have a more pronounced edge effect. Mean radial errors average 18-19 mas higher for Read_1 sources. Like the Read_2-Read_1 sources, the errors go up at the edges, but they are not as flat across most of the scans.

Figure 16 shows mean 2 values as a function of cross-scan position. Northern facility data are presented in the left panels, and southern data in the right panels, with cross-scan 2 on top and in-scan on the bottom. Read_1 values are plotted in black, and Read_2-Read_1 values in red. Although the Read_2-Read_1 mean 2 values are a little greater than 1.0 over the cross-scan range, Read_1 values are twice that high and more. Read_1 values rise to 3 near the east edge for the northern facility and the west edge for the southern facility. These Read_1 edge effects are likely due to the unremoved distortion, which is not reflected in the uncertainties.

Figure 17 shows derived 2MASS RMS values as a function of cross-scan position with solid lines. As before, Read_1 values are plotted in black and Read_2-Read_1 values in red. The dotted lines represent mean quoted 2MASS . This figure simply drives home the message from the previous figure. Note that, even for the worst case (Read_1 edge), the derived 2MASS RMS does not exceed 130 mas.

Figure 14Figure 15Figure 16Figure 17

Variation with Magnitude

Before proceeding into a discussion of variations with magnitude, it should be noted that the 2MASS Ks magnitude range in Figure 18 for matches to UCACr10 sources is shifted 2 to 3 magnitudes fainter than matches to Tycho-2 from the previous analysis. This shift is reflected in the figures to follow. Figure 19 shows mean cross-scan (black) and in-scan (red) position differences, as a function of Ks magnitude. As before, northern data are presented in the left panel and southern in the right. In all cases (both facilities and both scan directions) there is an abrupt change of amplitude ~10 mas between Ks=8 mag and 9 mag. This corresponds to the transition from Read_1 to Read_2-Read_1 sources. It is not surprising that such a difference would exist, because of the previously-mentioned dual path through a portion of the pipeline for Read_1 and Read_2-Read_1 sources. The previous Tycho-2 difference analysis (see IV.6a1, Figure 19) showed such a ramp for the southern facility, but not the northern.

Figure 20 shows mean radial 2MASS:UCACr10 differences, as a function of Ks magnitude, for northern (black) and southern (red) facility observations. The two facilities show very similar results, but with the southern facility consistently better over the entire magnitude range. The southern facility advantage diminishes at the faint end. Mean radial differences for both facilities start on a high plateau at the bright end, corresponding to unsaturated Read_1 sources. The differences drop to a minimum around Ks=9 mag, where the Read_2-Read_1 region begins in earnest. They increase gradually, then, until about Ks=13 mag, where they begin to rise more rapidly with increasing magnitude. The RMS of the 2MASS:UCACr10 differences are shown in Figure 21, as a function of Ks magnitude, with northern data in the left panels and southern in the right. Cross-scan results are in the upper panels and in-scan results in the lower.

Figure 22 shows mean 2 values, as a function of Ks magnitude, with in-scan in red and cross-scan in black. The panels are laid out as before, with the northern data on the left and the southern on the right. For both facilities mean 2 values are greatest for Ks magnitudes between 5 and 8 and rise again at the faint end.

Figure 23 presents these results in terms of derived 2MASS RMS values, plotted as a function of Ks magnitude, in black. Mean , as quoted in the 2MASS Catalog, are plotted in red. This is telling us that, in the northern facility data, the quoted 2MASS are too low by about 10-12 mas over most of the magnitude range, slightly more at the faint end and considerably more for the bright unsaturated Read_1 sources. The southern facility 2MASS uncertainties are better characterized, but are still underestimated at the bright and (to a lessor extent) the faint end.

Figure 18Figure 19Figure 20

Figure 21Figure 22Figure 23

Effects of Scan Direction

Some 2MASS scans were laid down moving northward, and others southward. This introduces the possibility of astrometric biases between the two sets of scans. In order to examine this possibility, 2MASS:UCACr10 northward and southward difference statistics were gathered separately for each facility and are presented in Table 1. Note that for each facility (north and south), scan direction results in a difference of less than 2 mas for each of the four statistics presented. Thus, not only are scan direction biases very small, differences in random errors are also small.

Conclusions

Based on UCACr10 comparisons, the overall 2MASS reconstruction accuracy (RMS) appears to be around 84 mas cross-scan and 86 mas in-scan for northern facility observations, and 74 mas cross-scan and 77 mas in-scan for the southern facility. These numbers reflect both systematic and random errors. Thus, part of the uncertainty increase in the north is due to relatively large systematic differences (-23.6 mas cross-scan and +23.7 mas in-scan) between 2MASS and UCACr10. In order to be conservative, these differences were treated as 2MASS errors. The reconstruction accuracy numbers given above indicate that the quoted 2MASS uncertainties are, on i average, about 20% too low for the northern observations and 14% low for the southern.

In general the 2MASS errors are both lower and better characterized away from scan edges, and when neither too bright (Ks < 8.5 mag) nor too faint (Ks > 13.5 mag). UCACr10 comparison results are, in general, consistent with the earlier comparison to Tycho-2. The most notable exceptions to this are some of the variations with sky position, which are seen in the UCACr10 comparison, but not the Tycho-2 comparison. Both agree, however, that 2MASS errors increase approaching a pole.

[Last updated: 2003 Feb 10; by H. McCallon]


Return to IV.6a.