VI. Analysis


4. 2MASS Photometric System

b. Color Transformations

i. Summary

This document updates the color transformations for the 2MASS Second Incremental Release (see VI.3 of the Second Incremental Release Explanatory Supplement) derived to reflect the 2MASS All-Sky Data Release. All transformations have been re-derived using catalog-quality photometry.

Transformation equations are presented to convert colors and magnitudes measured in the AAO, ARNICA, CIT, ESO, LCO (Persson standards), MKO, MSSSO, SAAO, and UKIRT photometric systems to the photometric system inherent to the 2MASS All-Sky Data Release. The transformations have been derived by comparing 2MASS photometry with published magnitudes and colors for stars observed in these systems. Transformation equations have also been derived indirectly for the Bessell & Brett (1988, PASP, 100, 1134) and Koorneef (1983, A&A, 129, 84) homogenized photometric systems.

ii. Introduction

One difficulty in directly comparing 2MASS photometry with other near-infrared observations is that these comparison data will often be obtained with a set of filters that have different transmissions profiles and effective wavelengths than the filters adopted for the 2MASS Survey. Variations in the filter transmission characteristics can lead to systematic differences in the observed stellar colors, especially for objects with extremely red spectral energy distributions or unusual spectral line features. Any detailed comparisons between 2MASS data and observations conducted at other telescopes then requires that both sets of photometry be placed on a common photometric system. Since 2MASS will provide photometry for sources over the entire sky, it is natural to adopt the 2MASS photometric system as the reference point for these comparisons.

Color transformations between the 2MASS Second Incremental Release and other photometric systems in common use today were derived previously (see VI.3 of the Second Release Explanatory Supplement). Since that time, 2MASS has completed surveying the sky, and all of the data were reprocessed using a final version of the 2MASS data reduction pipeline. This document rederives that color transformations using the 2MASS All-Sky Point Source Catalog.

iii. The 2MASS Photometric System

Filters

Both the northern and southern 2MASS telescopes are outfitted with a similar set of optics, filters, and detectors to observe the J, H, and Ks bands simultaneously (see III.1b1). Since the total transmission through the atmosphere and the optical elements essentially define any photometric system, it is instructive to review these characteristics as they pertain to 2MASS and note any substantial differences from other photometric systems. Figure 1 shows the transmission as a function of wavelength through the 2MASS optical path, including the telescope mirror reflectivity, the dewar window, anti-reflection coatings, dichroics, filters, and the NICMOS detector quantum efficiency, but excluding the atmosphere. The dominant source of transmission loss through the optical path is the detector quantum efficiency, which is about 0.6-0.65 in the J, H, and Ks bandpasses. A model atmospheric transmission for the mean conditions at Mt. Hopkins is shown separately in Figure 1, as indicated by the thin solid line. The atmospheric transmission data, kindly provided by M. Cohen, was computed using the USAF PLEXUS code and binned to a resolution of 0.002 micron for display purposes. The transmission curves for both the optical elements and the atmosphere are tabulated in section III.1b1. The primary distinction between 2MASS and many other photometric systems is that the 2MASS Ks filter transmission was specially designed to cut off at 2.3 µm, in order to reduce the noise contribution from the thermal background. In this manner, the noise in the Ks band observations will be less sensitive to variations in the ambient temperature, allowing for a more uniform photometric survey. A similar filter has been adopted by the DENIS survey and also was incorporated into the standard star observations by Persson et al. (1998, AJ, 116, 2475). By comparison, more traditional Johnson K filters have significant transmission out to 2.4 µm. We therefore distinguish the 2MASS Ks (``K-short'') filter from the Johnson K filter when presenting the color transformations.

As shown in Figure 1, the short and long wavelength cutoff of the 2MASS J filter extends into the atmospheric water absorption features at 1.1 µm and 1.4 µm. In dry weather, the transmission at these wavelengths can be significant compared to typical conditions, implying that the effective J band wavelength, calibration zero-points, and possibly color transformations will depend on the atmospheric water vapor content. Indeed, the J band calibration zero-points often showed smooth variations within a night as large as 0.1 mag, and seasonal variations in the average zero-point as large as 0.2 mag were observed. While the 2MASS Survey did not record the atmospheric water vapor content directly, these zero-point variations are presumably due to changes in the amount of water vapor.

The above discussion indicates that various aspects of 2MASS photometry need to be investigated before deriving the color transformations between 2MASS and other photometric systems, namely,

Nikolaev et al. (2000, AJ, 120, 3340) have discussed these issues in terms of the global magnitude calibration of the 2MASS Survey and found that any temporal changes in the global calibration of the J, H, and Ks magnitudes in the 2MASS survey are less than about 0.01 mag. However, since most of the standard stars analyzed by Nikolaev et al. (2000) span a small range of colors, the stability of the 2MASS photometric system, as pertaining to the stellar colors, remains to be established. The following subsections present such an analysis, and it is shown that any internal variations in the 2MASS color transformations are less than the photometric uncertainties for any individual star.

Figure 1
Filter Profiles

Color Transformations

Table 1 below summarizes the photometric systems that have been analyzed. The standard stars that define the Koornneef (1983) and Bessell & Brett (1988) homogenized photometric systems are saturated in the 2MASS images, and the transformation equations have been derived indirectly. The Bessell & Brett color transformations were derived using the 2MASS-CIT and the Bessell & Brett-CIT transformation equations, and for Koornneef, the 2MASS-SAAO was combined with the Koornneef-SAAO transformation equations derived in Carpenter (2001, AJ, 121, 285).

Table 1: Photometric Systems
Photometric System Reference
AAO Allen & Cragg (1983)
Elias et al. (1983)
ARNICA Hunt et al. (1988)
Bessell & Brett Bessell & Brett (1988)
CIT Elias et al. (1982)
Elias et al. (1983)
ESO van der Bliek et al. (1996)
Koornneef Koornneef (1983)
LCO Persson et al. (1998)
MKO UKIRT web site (2002)
MSSSO McGregor (1994)
SAAO Carter (1990)
Carter & Meadows (1995)
UKIRT Hawarden et al. (2001)
References:
  1. Allen, D. A. & Cragg, T. A. 1983, MNRAS, 203, 777
  2. Bessell, M. S., & Brett, J. M. 1988, PASP, 100, 1134
  3. Carter, B. S. 1990, MNRAS, 242, 1
  4. Carter, B. S. & Meadows, V. S. 1995, MNRAS, 276, 734
  5. Elias, J. H., Frogel, J. A., Hyland, A. R., & Jones, T. J. 1983, AJ, 88, 1027
  6. Elias, J. H., Frogel, J. A., Matthews, K., & Neugebauer, G. 1982, AJ, 87, 1029
  7. Hawarden, T. et al. 2001, MNRAS, 325, 563
  8. UKIRT web site, as of November 11, 2002
  9. Hunt, L. K., Mannucci, F., Testi, L., Migliorini, S., Stanga, R. M., Baffa, C., Lisi, F., & Vanzi, L. AJ, 87, 1029
10. Koornneef, J. 1983, A&AS, 51, 489
11. McGregor, P. J. 1994, PASP, 106, 508
12. Persson, S. E., Murphy, D. C., Krzeminski, W., Roth, M., & Rieke, M. J. 1998, AJ, 116, 2475
13. van der Bliek, N. S., Manfroid, J., & Bouchet, P. 1996, A&AS, 119, 547

Table 2: Goodness of Fit Parameters
Photometric
System
Reduced Chi-Squared q Nstars
K J-H J-K H-K K J-H J-K H-K
AAO 1.5 0.2 0.4 0.4 0.09 1.00 0.99 0.98 20
ARNICA 1.6 0.8 0.7 0.9 0.0004 0.95 0.98 0.66 82
CIT 0.7 0.3 0.4 0.6 0.93 1.00 1.00 0.98 50
ESO 1.3 0.5 0.6 1.0 0.07 1.00 1.00 0.54 75
Koornneef a 0.9 0.3 0.3 0.2 0.89 1.00 1.00 1.00
LCO (K) 1.0 0.6 0.9 0.7 0.50 1.00 0.81 0.98 78
LCO (Ks) 1.0 --- 0.7 0.6 0.49 --- 0.99 1.00 81
MKO 1.3 0.7 0.9 0.5 0.03 0.99 0.68 0.99 83
MSSSO 0.9 0.3 0.3 1.4 0.66 1.00 1.00 0.10 26
SAAO 0.9 0.3 0.4 0.8 0.81 1.00 1.00 0.92 113
UKIRT 1.6 0.6 0.6 0.5 0.001 1.00 1.00 1.00 74
Notes:
  a. Goodness-of-fit-results are for the SAAO vs. Koornneef fit.

The color transformations between 2MASS and the photometric systems summarized in Table 1 were derived by making a linear fit between the published standard star photometry and the 2MASS observations of these stars. Only stars in which the 2MASS photometric quality flag ph_qual='AAA' and the confusion flag cc_flg='000' were used in deriving the transformations. The specific variables included in the linear fit are (Ks)2MASS - Kstd vs. (J-K)std, (J-Ks)2MASS vs. (J-K)std, (J-H)2MASS vs. (J-H)std, and (H-Ks)2MASS vs. (H-K)std, where std, treated as the X-variable, represents the standard star photometry for the appropriate photometric system. The transformation equations were derived using the routine FITEXY (Press et al. 1992) that minimizes the 2 between the observations and a straight-line model. The uncertainties in both the 2MASS and published photometry are used to evaluate the 2 merit function. After examining the residuals from the fit, sources with large discrepancies between the 2MASS and published photometry were removed, and the fit was rederived.

Table 2 summarizes the goodness-of-fit parameters from the linear fit, including the reduced 2 of the residuals and the probability (q, 0 q 1) that the reduced 2 can be exceeded by chance for Gaussian distributed noise. The larger the value of q, the more likely the residuals are consistent with random noise. Table 2 indicates that the color transformations are reasonably described by a linear relationship, and the residuals can be explained by photometric noise. The residuals for the K-band transformations tend to have larger reduced 2 values than that for the color transformations, especially for photometric systems that incorporate very red infrared standards. As discussed by Elias et al. (1983; see also Persson et al. 1998) these red standards tend to be near star-forming regions and have a greater probability of being variable stars. If any of the red standards do have low amplitude variability, the magnitude transformations will be most affected since the J-, H-, and K-band magnitudes will vary simultaneously and produce smaller color changes.

To emphasize that the derived color transformations are valid only for the colors spanned by the published photometry, Figure 2 shows the range of J-K colors contained in the data analyzed here for each photometric system. The appropriate ranges for the J-H and H-K colors can be obtained from inspection of Figures 3-14 below. In addition, these transformations equations may not apply for objects that exhibit complex spectral energy distributions (e.g., T dwarfs). For these objects, the transformation equations will be sensitive to the exact spectral features that are within the filter transmission curve.

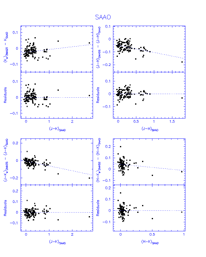
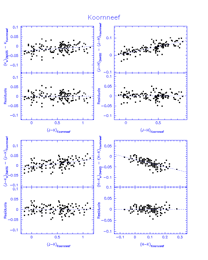
The results from the linear fits are summarized graphically in Figures 3-14. In displaying the results, the data are shown as the difference between the 2MASS and standard star photometry as a function of the standard star photometry, in order to emphasize subtle, systematic photometric differences. This implies that the ordinates and abscissae are correlated in the plots, which can create artificial trends with slope of -1.0, if the noise in the data exceeds the dynamic range in colors.

The vertical and horizontal bars in Figures 3-14 indicate the 1 photometric uncertainties, although the uncertainties along the abscissa are often smaller then the symbol size, given the dynamic range in the figures. The upper left panel in each figure shows the difference in the K-band magnitudes as a function of the J-K color, and the remaining panels directly compare the J-H, J-K, and H-K colors. The dotted line in the upper portion of each panel shows the derived transformation between the appropriate photometric system and 2MASS. The bottom portion of each panel shows the residuals from the fit, where the horizontal dotted line at zero is drawn for reference.

Figure 2
(Range of J-K colors)

Figure 3 (AAO)Figure 4 (ARNICA)Figure 5 (CIT)

Figure 6 (ESO) Figure 7 (Koornneef) Figure 8 (LCO K)

Figure 9 (LCO Ks) Figure 10 (MKO) Figure 11 (MSSSO)

Figure 12 (SAAO) Figure 13 (UKIRT)

Transformation Equations

    2MASS - AAO
    (Ks)2MASS = KAAO + (-0.036 ± 0.011)+ (-0.010 ± 0.009)(J-K)AAO
    (J-H)2MASS = (0.946 ± 0.015)(J-H)AAO+ (-0.020 ± 0.017)
    (J-Ks)2MASS = (0.953 ± 0.013)(J-K)AAO + (0.013 ± 0.017)
    (H-Ks)2MASS = (0.961 ± 0.033)(H-K)AAO + (0.013 ± 0.017)

    2MASS - ARNICA
    (Ks)2MASS = KARNICA + (0.016 ± 0.004)+ (-0.005 ± 0.008)(J-K)ARNICA
    (J-H)2MASS = (1.049 ± 0.017)(J-H)ARNICA + (-0.023 ± 0.006)
    (J-Ks)2MASS = (1.029 ± 0.012)(J-K)ARNICA + (-0.011 ± 0.006)
    (H-Ks)2MASS = (0.968 ± 0.050)(H-K)ARNICA + (0.009 ± 0.006)

    2MASS - Bessel & Brett
    (Ks)2MASS = KBB+ (-0.039 ± 0.007)+ (0.001 ± 0.005)(J-K)BB
    (J-H)2MASS = (0.990 ± 0.012)(J-H)BB + (-0.049 ± 0.007)
    (J-Ks)2MASS = (0.983 ± 0.008)(J-K)BB + (-0.018 ± 0.007)
    (H-Ks)2MASS = (0.971 ± 0.022)(H-K)BB+ (0.034 ± 0.006)

    2MASS - CIT
    (Ks)2MASS = KCIT+ (-0.019 ± 0.004)+ (0.001 ± 0.005)(J-K)CIT
    (J-H)2MASS = (1.087 ± 0.013)(J-H)CIT + (-0.047 ± 0.007)
    (J-Ks)2MASS = (1.068 ± 0.009)(J-K)CIT + (-0.020 ± 0.007)
    (H-Ks)2MASS = (1.000 ± 0.023)(H-K)CIT+ (0.034 ± 0.006)


    2MASS - ESO
    (Ks)2MASS = KESO+ (-0.044 ± 0.004)+ (0.000 ± 0.011)(J-K)ESO
    (J-H)2MASS = (0.962 ± 0.025)(J-H)ESO + (-0.046 ± 0.008)
    (J-Ks)2MASS = (1.000 ± 0.019)(J-K)ESO + (-0.013 ± 0.007)
    (H-Ks)2MASS = (1.163 ± 0.090)(H-K)ESO + (0.035 ± 0.005)

    2MASS - Koornneef
    (Ks)2MASS = KKoornneef+ (-0.046 ± 0.005)+ (0.036 ± 0.019)(J-K)Koornneef
    (J-H)2MASS = (1.019 ± 0.023)(J-H)Koornneef + (-0.038 ± 0.006)
    (J-Ks)2MASS = (0.974 ± 0.016)(J-K)Koornneef + (-0.011 ± 0.006)
    (H-Ks)2MASS = (0.779 ± 0.052)(H-K)Koornneef+ (0.030 ± 0.004)

    2MASS-LCO
    (Ks)2MASS = KLCO+ (-0.005 ± 0.004)+ (-0.002 ± 0.004)(J-K)LCO
    (J-H)2MASS = (1.009 ± 0.008)(J-H)LCO + (-0.009 ± 0.005)
    (J-Ks)2MASS = (1.015 ± 0.006)(J-K)LCO + (-0.016 ± 0.005)
    (H-Ks)2MASS = (1.020 ± 0.016)(H-K)LCO + (-0.016 ± 0.005)

    (Ks)2MASS = (Ks)LCO+ (-0.015 ± 0.004)+ (0.002 ± 0.004)(J-Ks)LCO
    (J-Ks)2MASS = (1.012 ± 0.005)(J-Ks)LCO + (-0.007 ± 0.005)
    (H-Ks)2MASS = (1.015 ± 0.016)(H-Ks)LCO + (0.003 ± 0.005)

    2MASS - MKO
    (Ks)2MASS = KMKO+ (0.002 ± 0.004)+ (0.026 ± 0.006)(J-K)MKO
    (J-H)2MASS = (1.156 ± 0.015) (J-H)MKO + (-0.038 ± 0.006)
    (J-Ks)2MASS = (1.037 ± 0.009)(J-K)MKO + (-0.001 ± 0.006)
    (H-Ks)2MASS = (0.869 ± 0.021)(H-K)MKO + (0.016 ± 0.005)

    2MASS - MSSSO
    (Ks)2MASS = KMSSSO+ (-0.027 ± 0.009)+ (-0.008 ± 0.008)(J-K)MSSSO
    (J-H)2MASS = (1.014 ± 0.017) (J-H)MSSSO + (-0.033 ± 0.015)
    (J-Ks)2MASS = (1.016 ± 0.012)(J-K)MSSSO + (-0.004 ± 0.015)
    (H-Ks)2MASS = (0.996 ± 0.034)(H-K)MSSSO + (0.043 ± 0.011)

    2MASS - SAAO
    (Ks)2MASS = KSAAO+ (-0.024 ± 0.003)+ (0.017 ± 0.006)(J-K)SAAO
    (J-H)2MASS = (0.944 ± 0.017)(J-H)SAAO + (-0.048 ± 0.006)
    (J-Ks)2MASS = (0.944 ± 0.012(J-K)SAAO + (-0.005 ± 0.006)
    (H-Ks)2MASS = (0.945 ± 0.026)(H-K)SAAO + (0.043 ± 0.004)

    2MASS - UKIRT
    (Ks)2MASS = KUKIRT+ (0.003 ± 0.004)+ (0.004 ± 0.006)(J-K)UKIRT
    (J-H)2MASS = (1.075 ± 0.013)(J-H)UKIRT + (-0.032 ± 0.006)
    (J-Ks)2MASS = (1.070 ± 0.008)(J-K)UKIRT + (-0.015 ± 0.006)
    (H-Ks)2MASS = (1.071 ± 0.026)(H-K)UKIRT + (0.014 ± 0.005)

[Last Updated: 2008 August 9; J. Carpenter]


Previous page.Next page.
Return to Explanatory Supplement TOC Page.